Gramin Dak Sevaks (GDS) – Voluntary Discharge Scheme – Scope, Conditions, Entitlements & Proforma of Notice
No.17-31/2016-GDS
Government Of India
Ministry Of Communications
Department of Posts
(GDS Section)
Dak Bhawan,Sansad Marg,
New Delhi – 110 001
Dated: 14 December 2018
Office Memorandum
Sub: Implementation of recommendations of One-Man Committee on introduction of Voluntary Discharge scheme for all categories of gramin Dak Sevaks (GDS)
The undersigned is directed to convey the approval of the Competent Authority on recommendations of One-Man committee on introduction of Voluntary Discharge Scheme for all Categories of GDS, who are engaged on regular basis after due engagement formalities as prescribed in Gramin Dak Sevak (conduct & Engagement) Rules, 2011 and amended from time to time as per instruction of Directorate.
2. Keeping in view the above, it has been decided to issue consolidated instructions in supersession of all earlier OMs on the subject of Voluntary Discharge Scheme for all categories of Gramin Dak Sevaks as under:
2.1 SCHEME-1: ON COMPLETION OF 20 YEARS OF ENGAGEMENT PERIOD:-
(a) Scope: Intended for those who wish to quit prematurely without citing any specific reason.
(b) Conditions:
i. Minimum qualifying engagement period – 20 years
ii. No age restriction.
iii. By giving notice of not less than three months, in writing to the Divisional Head in prescribed proforma as shown in Annexure-I
iv. In computing the notice period of three months, the date of notice for voluntary discharge and date of its expiry to be excluded from the notice period.
v. In case the Divisional head does not refuse to grant the permission for retirement before the expiry of the period specified in the said notice, the discharge shall become effective from the date of expiry of the said period For example, if the date of notice is 05.02.2019 the discharge shall become effective from 04.05.2019.
vi. The divisional head shall issue orders before the date of expiry of notice either accepting or rejecting the voluntary discharge otherwise GDS shall be deemed to have been discharged voluntarily from engagement at the end of the period of notice of three months.
vii. Request can be withdrawn prior to acceptance of notice, with the approval of the accepting Authority i.e. Divisional Head.
viii. the scheme is purely voluntary and there will be no compulsion on any GDS to quit under this scheme.
ix. The scheme will not be available for GDS who are under put off duty, or against whom any disciplinary action, police case or court case, is pending.
x. All GDS who are engaged on regularly basis on the date of notification of the scheme and who fulfill all other conditions will be eligible to opt for this scheme.
xi. The divisional Head will be the competent authority to accept and approve the voluntary discharge for all categories of GDS.
xii. Compassionate engagement will not be available for the dependents of the GDS to be discharged voluntarily. A declaration in prescribed application proforma as shown in Annexure-I will be taken from the GDS willing to seek the benefits of Voluntary Discharge scheme that she/he will not claim compassionate engagement for any of her/his dependents once voluntary discharge request is accepted.
ii. No age restriction.
iii. By giving notice of not less than three months, in writing to the Divisional Head in prescribed proforma as shown in Annexure-I
iv. In computing the notice period of three months, the date of notice for voluntary discharge and date of its expiry to be excluded from the notice period.
v. In case the Divisional head does not refuse to grant the permission for retirement before the expiry of the period specified in the said notice, the discharge shall become effective from the date of expiry of the said period For example, if the date of notice is 05.02.2019 the discharge shall become effective from 04.05.2019.
vi. The divisional head shall issue orders before the date of expiry of notice either accepting or rejecting the voluntary discharge otherwise GDS shall be deemed to have been discharged voluntarily from engagement at the end of the period of notice of three months.
vii. Request can be withdrawn prior to acceptance of notice, with the approval of the accepting Authority i.e. Divisional Head.
viii. the scheme is purely voluntary and there will be no compulsion on any GDS to quit under this scheme.
ix. The scheme will not be available for GDS who are under put off duty, or against whom any disciplinary action, police case or court case, is pending.
x. All GDS who are engaged on regularly basis on the date of notification of the scheme and who fulfill all other conditions will be eligible to opt for this scheme.
xi. The divisional Head will be the competent authority to accept and approve the voluntary discharge for all categories of GDS.
xii. Compassionate engagement will not be available for the dependents of the GDS to be discharged voluntarily. A declaration in prescribed application proforma as shown in Annexure-I will be taken from the GDS willing to seek the benefits of Voluntary Discharge scheme that she/he will not claim compassionate engagement for any of her/his dependents once voluntary discharge request is accepted.
(c) Entitlements:- Normal discharge benefits proportionate to the period of engagement rendered. In case the GDS quits engagement before completion of 20 years of engagement period, he/she will not be entitled to get any monetary benefits under the scheme.
2.2 SCHEME – 2: ON MEDICAL GROUND:
(a) Scope: Intended for those who suffer on account of any bodily or mental infirmity, which permanently incapacitates him/her for engagement and wishes to quit prematurely.
(b) Conditions:
i. Minimum engagement period 10 years
ii. No age restriction.
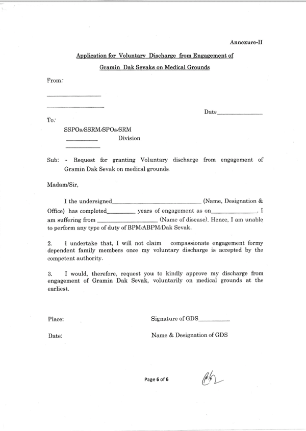
iii. An application in prescribed profoma as shown in Annexure-II to be submitted by the GDS.
iv. The Medical Authority (civil Surgeon) should certify that the applicant is not fit to continue in engagement. For this purpose the Divisional Head shall direct the GDS for appearing before the appropriate Medical Authority i.e. Medical Board of a Government Hospital.
v. The GDS to be directed to appear before the appropriate Medical Authority.
vi. A certificate so obtained from the Medical Authority without the prior approval of the Department will not be valid.
vii. Date of effect will be the date of acceptance of the request.
viii. The scheme is purely voluntary and there will be no compulsion on any GDS to quit under this scheme.
ix. The scheme will not be available for GDS under put off duty, or against whom any Department disciplinary action, police case or court case is pending.
x. The Divisional Head will be the competent authority to accept and approve the voluntary discharge for all categories of GDS.
xi. All GDS who are engaged on regular basis on the date of notification of the scheme and who fulfill all other conditions will be eligible to opt for this scheme.
xii. Compassionate engagement will not be available for the dependents of the GDS to be discharged voluntarily. a declaration in prescribed application proforma as shown in Annexure-II will be taken from the GDS willing to seek the benefits of Voluntary Discharge scheme that she/he will not claim compassionate engagement for any of her/his dependents once voluntary discharge request on medical ground is accepted.
ii. No age restriction.
iii. An application in prescribed profoma as shown in Annexure-II to be submitted by the GDS.
iv. The Medical Authority (civil Surgeon) should certify that the applicant is not fit to continue in engagement. For this purpose the Divisional Head shall direct the GDS for appearing before the appropriate Medical Authority i.e. Medical Board of a Government Hospital.
v. The GDS to be directed to appear before the appropriate Medical Authority.
vi. A certificate so obtained from the Medical Authority without the prior approval of the Department will not be valid.
vii. Date of effect will be the date of acceptance of the request.
viii. The scheme is purely voluntary and there will be no compulsion on any GDS to quit under this scheme.
ix. The scheme will not be available for GDS under put off duty, or against whom any Department disciplinary action, police case or court case is pending.
x. The Divisional Head will be the competent authority to accept and approve the voluntary discharge for all categories of GDS.
xi. All GDS who are engaged on regular basis on the date of notification of the scheme and who fulfill all other conditions will be eligible to opt for this scheme.
xii. Compassionate engagement will not be available for the dependents of the GDS to be discharged voluntarily. a declaration in prescribed application proforma as shown in Annexure-II will be taken from the GDS willing to seek the benefits of Voluntary Discharge scheme that she/he will not claim compassionate engagement for any of her/his dependents once voluntary discharge request on medical ground is accepted.
(c) Entitlements: Normal discharge benefits proportionate to the period of engagement rendered. In case the GDS quits engagement before completion of 10 years of engagement period, she/he will not be entitled to get any monetary benefits.
3. The above instructions will come into effect from the date of issue of this O.M.
4. Hindi version will follow.
(S.B.Vyavahare)
Assistant Director General (GDS/PCC)
[http://utilities.cept.gov.in/dop/pdfbind.ashx?id=3101]



COMMENTS
Hello sir