EWS Reservation – Effecting Reservation – Maintenance of Rosters: Download Image/Word/Excel
(GoI, MoP,PG&P, DoPT OM No.36039/1/2019-Estt (Res) dated 31.01.2019)
6. EFFECTING RESERVATION – MAINTENANCE OF ROSTERS:
6.1 Department of Personnel and Training had circulated Office Memorandum No.36012/2/96-Estt (Res) dated July 2, 1997 regarding implementation of post based reservation roster. The general principles for making and operating post based reservation roster would be as per the principles laid down in the said Office Memorandum.
6.2 Every Government establishment shall now recast group-wise post-based reservation roster register for direct recruitment in accordance with format given in Annexure II, III, IV and V, as the case may be, for effecting 10% reservation for EWSs interpolating them with the SCs, STs and OBCs. While fixing roster point, if the EWS roster point coincides with the roster points of SCs/STs/OBCs the next available UR roster point has been allotted to the EWSs and also the principle of “squeezing” has been kept in view. While drawing up the rosters, the cadre controlling authorities may similarly “squeeze” the last points of the roster so as to meet prescribed 10% reservation.
6.3. Where in any recruitment year any vacancy earmarked for EWS cannot be filled up due to non availability of a suitable candidate belonging to EWS, such vacancies for that particular recruitment year shall not be carried forward to the next recruitment year as backlog.
6.4 Persons belonging to EWS selected against the quota for persons with benchmark disabilities/ex-servicemen shall be placed against the roster points earmarked for EWS.
7. ADJUSTMENT AGAINST UNRESERVED VACANCIES:
A person belonging to EWS cannot be denied the right to compete for- appointment against an unreserved vacancy. Persons belonging to EWS who are selected on the basis of merit and not on account of reservation are not to be- counted towards the quota meant for reservation.
Note:
Annexure-V
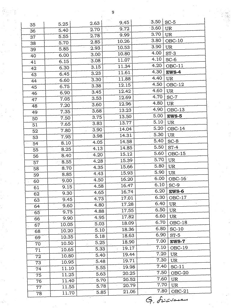
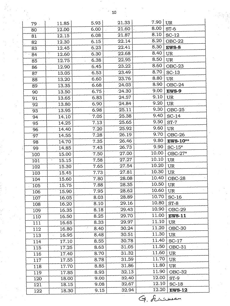
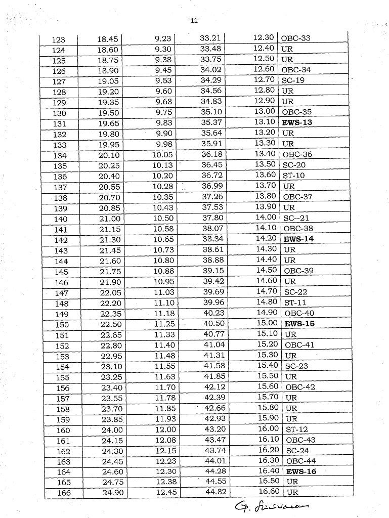
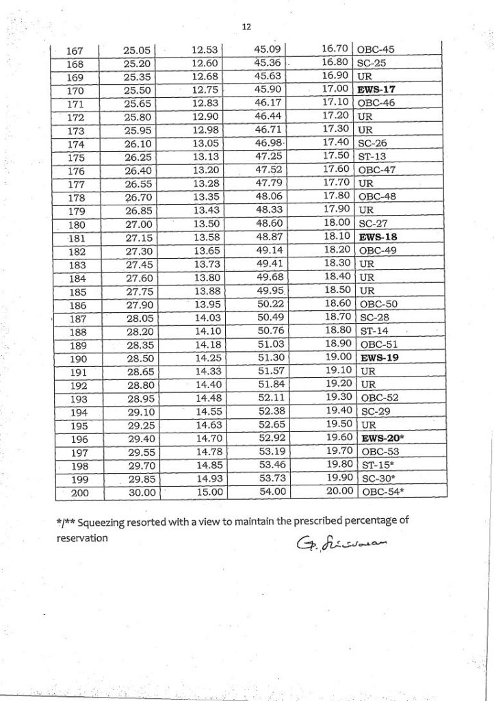
ANNEXURE-II
FOR DIRECT RECRUITMENT
Model Roster of Reservation with reference to posts for Direct recruitment on All India Basis by Open Competition
|
Sl. No. of Post
|
Share of Entitlement
|
Category for which the posts should be earmarked
|
|||
| SC @15% | ST @ 7.5% | OBC @ 27% | EWS @ 10% | ||
| 1 | 0.15 | 0.08 | 0.27 | 0.10 | UR |
| 2 | 0.30 | 0.15 | 0.54 | 0.20 | UR |
| 3 | 0.45 | 0.23 | 0.81 | 0.30 | UR |
| 4 | 0.60 | 0.30 | 1.08 | 0.40 | OBC-1 |
| 5 | 0.75 | 0.38 | 1.35 | 0.50 | UR |
| 6 | 0.90 | 0.45 | 1.62 | 0.60 | UR |
| 7 | 1.05 | 0.53 | 1.89 | 0.70 | SC-1 |
| 8 | 1.20 | 0.60 | 2.16 | 0.80 | OBC-2 |
| 9 | 1.35 | 0.68 | 2.43 | 0.90 | UR |
| 10 | 1.50 | 0.75 | 2.70 | 1.00 | EWS-1 |
| 11 | 1.65 | 0.83 | 2.97 | 1.10 | UR |
| 12 | 1.80 | 0.90 | 3.24 | 1.20 | aBC-3 |
| 13 | 1.95 | 0.98 | 3.51 | 1.30 | UR |
| 14 | 2.10 | 1.05 | 3.78 | 1.40 | ST-1 |
| 15 | 2.25 | 1.13 | 4.05 | 1.50 | SC-2 |
| 16 | 2.40 | 1.20 | 4.32 | 1.60 | OBC-4 |
| 17 | 2.55 | 1.28 | 4.59 | 1.70 | UR |
| 18 | 2.70 | 1.35 | 4.86 | 1.80 | UR |
| 19 | 2.85 | 1.43 | 5.13 | 1.90 | OBC-5 |
| 20 | 3.00 | 1.50 | 5.40 | 2.00 | SC-3 |
| 21 | 3.15 | 1.58 | 5.67 | 2.10 | EWS-2 |
| 22 | 3.30 | 1.65 | 5.94 | 2.20 | UR |
| 23 | 3.45 | 1.73 | 6.21 | 2.30 | OBC-6 |
| 24 | 3.60 | 1.80 | 6.48 | 2.40 | UR |
| 25 | 3.75 | 1.88 | 6.75 | 2.50 | UR |
| 26 | 3.90 | 1.95 | 7.02 | 2.60 | OBC-7 |
| 27 | 4.05 | 2.03 | 7.29 | 2.70 | SC-4 |
| 28 | 4.20 | 2.10 | 7.56 | 2.80 | ST-2 |
| 29 | 4.35 | 2.18 | 7.83 | 2.90 | UR |
| 30 | 4.50 | 2.25 | 8.10 | 3.00 | OBC-8 |
| 31 | 4.65 | 2.33 | 8.37 | 3.10 | EWS-3 |
| 32 | 4.80 | 2.40 | 8.64 | 3.20 | UR |
| 33 | 4.95 | 2.48 | 8.91 | 3.30 | UR |
| 34 | 5.10 | 2.55 | 9.18 | 3.40 | OBC-9 |
| 35 | 5.25 | 2.63 | 9.45 | 3.50 | SC-5 |
| 36 | 5.40 | 2.70 | 9.72 | 3.60 | UR |
| 37 | 5.55 | 2.78 | 9.99 | 3.70 | UR |
| 38 | 5.70 | 2.85 | 10.26 | 3.80 | OBC-10 |
| 39 | 5.85 | 2.93 | 10.53 | 3.90 | UR |
| 40 | 6.00 | 3.00 | 10.80 | 4.00 | ST-3 |
| 41 | 6.15 | 3.08 | 11.07 | 4.10 | SC-6 |
| 42 | 6.30 | 3.15 | 11.34 | 4.20 | OBC-11 |
| 43 | 6.45 | 3.23 | 11.61 | 4.30 | EWS-4 |
| 44 | 6.60 | 3.30 | 11.88 | 4.40 | UR |
| 45 | 6.75 | 3.38 | 12.15 | 4.50 | OBC-12 |
| 46 | 6.90 | 3.45 | 12.42 | 4.60 | UR |
| 47 | 7.05 | 3.53 | 12.69 | 4.70 | SC-7 |
| 48 | 7.20 | 3.60 | 12.96 | 4.80 | UR |
| 49 | 7.35 | 3.68 | 13.23 | 4.90 | QBC-13 |
| 50 | 7.50 | 3.75 | 13.50 | 5.00 | EWS-5 |
| 51 | 7.65 | 3.83 | 13.77 | 5.10 | UR |
| 52 | 7.80 | 3.90 | 14.04 | 5.20 | OBC-14 |
| 53 | 7.95 | 3.98 | 14.31 | 5.30 | UR |
| 54 | 8.10 | 4.05 | 14.58 | 5.40 | SC-8 |
| 55 | 8.25 | 4.13 | 14.85 | 5.50 | ST-4 |
| 56 | 8.40 | 4.20 | 15.12 | 5.60 | OBC-15 |
| 57 | 8.55 | 4.28 | 15.39 | 5.70 | UR |
| 58 | 8.70 | 4.35 | 15.66 | 5.80 | UR |
| 59 | 8.85 | 4.43 | 15.93 | 5.90 | UR |
| 60 | 9.00 | 4.50 | 16.20 | 6.00 | OBC-16 |
| 61 | 9.15 | 4.58 | 16.47 | 6.10 | SC-9 |
| 62 | 9.30 | 4.65 | 16.74 | 6.20 | EWS-6 |
| 63 | 9.45 | 4.73 | 17.01 | 6.30 | 0BC-17 |
| 64 | 9.60 | 4.80 | 17.28 | 6.40 | UR |
| 65 | 9.75 | 4.88 | 17.55 | 6.50 | UR |
| 66 | 9.90 | 4.95 | 17.82 | 6.60 | UR |
| 67 | 10.05 | 5.03 | 18.09 | 6.70 | OBC-18 |
| 68 | 10.20 | 5.10 | 18.36 | 6.80 | SC-10 |
| 69 | 10.35 | 5.18 | 18.63 | 6.90 | ST-5 |
| 70 | 10.50 | 5.25 | 18.90 | 7.00 | EWS-7 |
| 71 | 10.65 | 5.33 | 19.17 | 7.10 | 0BC-19 |
| 72 | 10.80 | 5.40 | 19.44 | 7.20 | UR |
| 73 | 10.95 | 5.48 | 19.71 | 7.30 | UR |
| 74 | 11.10 | 5.55 | 19.98 | 7.40 | SC-11 |
| 75 | 11.25 | 5.63 | 20.25 | 7.50 | OBC-20 |
| 76 | 11.40 | 5.70 | 20.52 | 7.60 | UR |
| 77 | 11.55 | 5.78 | 20.79 | 7.70 | UR |
| 78 | 11.70 | 5.85 | 21.06 | 7.80 | OBC-21 |
| 79 | 11.85 | 5.93 | 21.33 | 7.90 | UR |
| 80 | 12.00 | 6.00 | 21.60 | 8.00 | ST-6 |
| 81 | 12.15 | 6.08 | 21.87 | 8.10 | SC-12 |
| 82 | 12.30 | 6.15 | 22.14 | 8.20 | OBC-22 |
| 83 | 12.45 | 6.23 | 22.41 | 8.30 | EWS-8 |
| 84 | 12.60 | 6.30 | 22.68 | 8.40 | UR |
| 85 | 12.75 | 6.38 | 22.95 | 8.50 | UR |
| 86 | 12.90 | 6.45 | 23.22 | 8.60 | OBC-23 |
| 87 | 13.05 | 6.53 | 23.49 | 8.70 | SC-13 |
| 88 | 13.20 | 6.60 | 23.76 | 8.80 | UR |
| 89 | 13.35 | 6.68 | 24.03 | 8.90 | OBC-24 |
| 90 | 13.50 | 6.75 | 24.30 | 9.00 | EWS-9 |
| 91 | 13.65 | 6.83 | 24.57 | 9.10 | UR |
| 92 | 13.80 | 6.90 | 24.84 | 9.20 | UR |
| 93 | 13.95 | 6.98 | 25.11 | 9.30 | OBC-25 |
| 94 | 14.10 | 7.05 | 25.38 | 9.40 | SC-14 |
| 95 | 14.25 | 7.13 | 25.65 | 9.50 | ST-7 |
| 96 | 14.40 | 7.20 | 25.92 | 9.60 | UR |
| 97 | 14.55 | 7.28 | 26.19 | 9.70 | OBC-26 |
| 98 | 14.70 | 7.35 | 26.46 | 9.80 | EWS- 10** |
| 99 | 14.85 | 7.43 | 26.73 | 9.90 | SC-15* |
| 100 | 15.00 | 7.50 | 27.00 | 10.00 | OBC-27* |
| 101 | 15.15 | 7.58 | 27.27 | 10.10 | UR |
| 102 | 15.30 | 7.65 | 27.54 | 10.20 | UR |
| 103 | 15.45 | 7.73 | 27.81 | 10.30 | UR |
| 104 | 15.60 | 7.80 | 28.08 | 10.40 | OBC-28 |
| 105 | 15.75 | 7.88 | 28.35 | 10.50 | UR |
| 106 | 15.90 | 7.95 | 28.62 | 10.60 | UR |
| 107 | 16.05 | 8.03 | 28.89 | 10.70 | SC-16 |
| 108 | 16.20 | 8.10 | 29.16 | 10.80 | ST-8 |
| 109 | 16.35 | 8.18 | 29.43 | 10.90 | OBC-29 |
| 110 | 16.50 | 8.25 | 29.70 | 11.00 | EWS-1 1 |
| 111 | 16.65 | 8.33 | 29.97 | 11.10 | UR |
| 112 | 16.80 | 8.40 | 30.24 | 11.20 | OBC-30 |
| 113 | 16.95 | 8.48 | 30.51 | 11.30 | UR |
| 114 | 17.10 | 8.55 | 30.78 | 11.40 | SC-17 |
| 115 | 17.25 | 8.63 | 31.05 | 11.50 | OBC-31 |
| 116 | 17.40 | 8.70 | 31.32 | 11.60 | UR |
| 117 | 17.55 | 8.78 | 31.59 | 11.70 | UR |
| 118 | 17.70 | 8.85 | 31.86 | 11.80 | UR |
| 119 | 17.85 | 8.93 | 32.13 | 11.90 | OBC-32 |
| 120 | 18.00 | 9.00 | 32.40 | 12.00 | ST-9 |
| 121 | 18.15 | 9.08 | 32.67 | 12.10 | SC-18 |
| 122 | 18.30 | 9.15 | 32.94 | 12.20 | EWS-12 |
| 123 | 18.45 | 9.23 | 33.21 | 12.30 | OBC-33 |
| 124 | 18.60 | 9.30 | 33.48 | 12.40 | UR |
| 125 | 18.75 | 9.38 | 33.75 | 12.50 | UR |
| 126 | 18.90 | 9.45 | 34.02 | 12.60 | OBC-34 |
| 127 | 19.05 | 9.53 | 34.29 | 12.70 | SC-19 |
| 128 | 19.20 | 9.60 | 34.56 | 12.80 | UR |
| 129 | 19.35 | 9.68 | 34.83 | 12.90 | UR |
| 130 | 19.50 | 9.75 | 35.10 | 13.00 | OBC-35 |
| 131 | 19.65 | 9.83 | 35.37 | 13.10 | EWS- 13 |
| 132 | 19.80 | 9.90 | 35.64 | 13.20 | UR |
| 133 | 19.95 | 9.98 | 35.91 | 13.30 | UR |
| 134 | 20.10 | 10.05 | 36.18 | 13.40 | OBC-36 |
| 135 | 20.25 | 10.13 | 36.45 | 13.50 | SC-20 |
| 136 | 20.40 | 10.20 | 36.72 | 13.60 | ST-10 |
| 137 | 20.55 | 10.28 | 36.99 | 13.70 | UR |
| 138 | 20.70 | 10.35 | 37.26 | 13.80 | OBC-37 |
| 139 | 20.85 | 10.43 | 37.53 | 13.90 | UR |
| 140 | 21.00 | 10.50 | 37.80 | 14.00 | SC–21 |
| 141 | 21.15 | 10.58 | 38.07 | 14.10 | OBC-38 |
| 142 | 21.30 | 10.65 | 38.34 | 14.20 | EWS-14 |
| 143 | 21.45 | 10.73 | 38.61 | 14.30 | UR |
| 144 | 21.60 | 10.80 | 38.88 | 14.40 | UR |
| 145 | 21.75 | 10.88 | 39.15 | 14.50 | OBC-39 |
| 146 | 21.90 | 10.95 | 39.42 | 14.60 | UR |
| 147 | 22.05 | 11.03 | 39.69 | 14.70 | SC-22 |
| 148 | 22.20 | 11.10 | 39.96 | 14.80 | ST-11 |
| 149 | 22.35 | 11.18 | 40.23 | 14.90 | OBC-40 |
| 150 | 22.50 | 11.25 | 40.50 | 15.00 | EWS- 15 |
| 151 | 22.65 | 11.33 | 40.77 | 15.10 | UR |
| 152 | 22.80 | 11.40 | 41.04 | 15.20 | OBC-41 |
| 153 | 22.95 | 11.48 | 41.31 | 15.30 | UR |
| 154 | 23.10 | 11.55 | 41.58 | 15.40 | SC-23 |
| 155 | 23.25 | 11.63 | 41.85 | 15.50 | UR |
| 156 | 23.40 | 11.70 | 42.12 | 15.60 | OBC-42 |
| 157 | 23.55 | 11.78 | 42.39 | 15.70 | UR |
| 158 | 23.70 | 11.85 | 42.66 | 15.80 | UR |
| 159 | 23.85 | 11.93 | 42.93 | 15.90 | UR |
| 160 | 24.00 | 12.00 | 43.20 | 16.00 | ST-12 |
| 161 | 24.15 | 12.08 | 43.47 | 16.10 | OBC-43 |
| 162 | 24.30 | 12.15 | 43.74 | 16.20 | SC-24 |
| 163 | 24.45 | 12.23 | 44.01 | 16.30 | OBC-44 |
| 164 | 24.60 | 12.30 | 44.28 | 16.40 | EWS-16 |
| 165 | 24.75 | 12.38 | 44.55 | 16.50 | UR |
| 166 | 24.90 | 12.45 | 44.82 | 16.60 | UR |
| 167 | 25.05 | 12.53 | 45.09 | 16.70 | OBC-45 |
| 168 | 25.20 | 12.60 | 45.36 | 16.80 | SC-25 |
| 169 | 25.35 | 12.68 | 45.63 | 16.90 | UR |
| 170 | 25.50 | 12.75 | 45.90 | 17.00 | EWS-17 |
| 171 | 25.65 | 12.83 | 46.17 | 17.10 | OBC-46 |
| 172 | 25.80 | 12.90 | 46.44 | 17.20 | UR |
| 173 | 25.95 | 12.98 | 46.71 | 17.30 | UR |
| 174 | 26.10 | 13.05 | 46.98 | 17.40 | SC-26 |
| 175 | 26.25 | 13.13 | 47.25 | 17.50 | ST-13 |
| 176 | 26.40 | 13.20 | 47.52 | 17.60 | OBC-47 |
| 177 | 26.55 | 13.28 | 47.79 | 17.70 | UR |
| 178 | 26.70 | 13.35 | 48.06 | 17.80 | OBC-48 |
| 179 | 26.85 | 13.43 | 48.33 | 17.90 | UR |
| 180 | 27.00 | 13.50 | 48.60 | 18.00 | SC-27 |
| 181 | 27.15 | 13.58 | 48.87 | 18.10 | EWS-18 |
| 182 | 27.30 | 13.65 | 49.14 | 18.20 | OBC-49 |
| 183 | 27.45 | 13.73 | 49.41 | 18.30 | UR |
| 184 | 27.60 | 13.80 | 49.68 | 18.40 | UR |
| 185 | 27.75 | 13.88 | 49.95 | 18.50 | UR |
| 186 | 27.90 | 13.95 | 50.22 | 18.60 | OBC-50 |
| 187 | 28.05 | 14.03 | 50.49 | 18.70 | SC-28 |
| 188 | 28.20 | 14.10 | 50.76 | 18.80 | ST-14 |
| 189 | 28.35 | 14.18 | 51.03 | 18.90 | OBC-51 |
| 190 | 28.50 | 14.25 | 51.30 | 19.00 | EWS-19 |
| 191 | 28.65 | 14.33 | 51.57 | 19.10 | UR |
| 192 | 28.80 | 14.40 | 51.84 | 19.20 | UR |
| 193 | 28.95 | 14.48 | 52.11 | 19.30 | OBC-52 |
| 194 | 29.10 | 14.55 | 52.38 | 19.40 | SC-29 |
| 195 | 29.25 | 14.63 | 52.65 | 19.50 | UR |
| 196 | 29.40 | 14.70 | 52.92 | 19.60 | EWS-20* |
| 197 | 29.55 | 14.78 | 53.19 | 19.70 | OBC-53 |
| 198 | 29.70 | 14.85 | 53.46 | 19.80 | ST-15* |
| 199 | 29.85 | 14.93 | 53.73 | 19.90 | SC-30* |
| 200 | 30.00 | 15.00 | 54.00 | 20.00 | OBC-54* |
*/** Squeezing resorted with a view to maintain the prescribed percentage of reservation
Annexure-III
FOR DIRECT RECRUITMENT ON ALLL INDIA BASIS BY OPEN COMPETITION
Model Roster for cadre strength upto 13 posts
| Cadre Strength | Initial Recrui-tment | Replacement No. | ||||||||||||
| 1st | 2nd | 3rd | 4th | 5 th | 6 th | 7 th | 8 th | 9 th | 10 th | 11 th | 12 th | 13 th | ||
| 1 | UR | UR | UR | OBC | UR | UR | SC | OBC | UR | EWS | UR | OBC | UR | ST |
| 2 | UR | UR | OBC | UR | UR | SC | OBC | UR | EWS | UR | OBC | UR | ST | |
| 3 | UR | OBC | UR | UR | SC | OBC | UR | EWS | UR | OBC | UR | ST | ||
| 4 | OBC | UR | UR | SC | OBC | UR | EWS | UR | OBC | UR | ST | |||
| 5 | UR | UR | SC | OBC | UR | EWS | UR | OBC | UR | ST | ||||
| 6 | UR | SC | OBC | UR | EWS | UR | OBC | UR | ST | |||||
| 7 | SC | OBC | UR | EWS | UR | OBC | UR | ST | ||||||
| 8 | OBC | UR | EWS | UR | OBC | UR | ST | |||||||
| 9 | UR | EWS | UR | OBC | UR | ST | ||||||||
| 10 | EWS | UR | OBC | UR | ST | |||||||||
| 11 | UR | OBC | UR | ST | ||||||||||
| 12 | OBC | UR | ST | |||||||||||
| 13 | UR | ST | ||||||||||||
Note:
1. For cadres of 2 to 13 posts the roster is to be read from entry 1 under column Cadre Strength till the last post and then horizontally till the last entry in the horizontal row i.e. like “L”
2. All the posts of a cadre are to be earmarked for the categories shown under column initial recruitment. While initial filling up will be by the earmarked category, the replacement against any of the post in the cadre shall be by rotation as shown horizontally against the last post of the cadre.
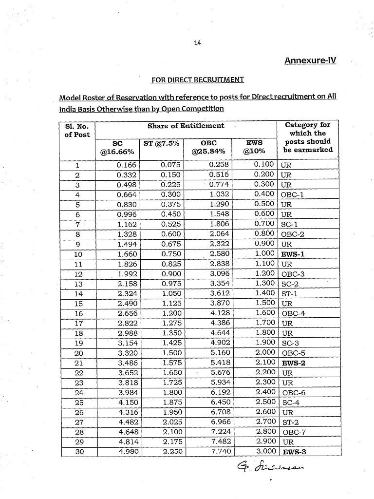
Annexure-IV
FOR DIRECT RECRUITMENT
Model Roster of Reservation with reference to posts for Direct recruitment on All India Basis Otherwise than by Open Competition
|
Sl. No. of Post
|
Share of Entitlement
|
Category for which the posts should be earmarked
|
|||
|
SC @ 16.66%
|
ST @ 7.5%
|
OBC @ 25.84%
|
EWS @10%
|
||
| 1 | 0.166 | 0.075 | 0.258 | 0.100 | UR |
| 2 | 0.332 | 0.150 | 0.516 | 0.200 | UR |
| 3 | 0.498 | 0.225 | 0.774 | 0.300 | UR |
| 4 | 0.664 | 0.300 | 1.032 | 0.400 | OBC-1 |
| 5 | 0.830 | 0.375 | 1.290 | 0.500 | UR |
| 6 | 0.996 | 0.450 | 1.548 | 0.600 | UR |
| 7 | 1.162 | 0.525 | 1.806 | 0.700 | SC-1 |
| 8 | 1.328 | 0.600 | 2.064 | 0.800 | OBC-2 |
| 9 | 1.494 | 0.675 | 2.322 | 0.900 | UR |
| 10 | 1.660 | 0.750 | 2.580 | 1.000 | EWS-1 |
| 11 | 1.826 | 0.825 | 2.838 | 1.100 | UR |
| 12 | 1.992 | 0.900 | 3.096 | 1.200 | OBC-3 |
| 13 | 2.158 | 0.975 | 3.354 | 1.300 | SC-2 |
| 14 | 2.324 | 1.050 | 3.612 | 1.400 | ST-1 |
| 15 | 2.490 | 1.125 | 3.870 | 1.500 | UR |
| 16 | 2.656 | 1.200 | 4.128 | 1.600 | OBC-4 |
| 17 | 2.822 | 1.275 | 4.386 | 1.700 | UR |
| 18 | 2.988 | 1.350 | 4.644 | 1.800 | UR |
| 19 | 3.154 | 1.425 | 4.902 | 1.900 | SC-3 |
| 20 | 3.320 | 1.500 | 5.160 | 2.000 | OBC-5 |
| 21 | 3.486 | 1.575 | 5.418 | 2.100 | EWS-2 |
| 22 | 3.652 | 1.650 | 5.676 | 2.200 | UR |
| 23 | 3.818 | 1.725 | 5.934 | 2.300 | UR |
| 24 | 3.984 | 1.800 | 6.192 | 2.400 | OBC-6 |
| 25 | 4.150 | 1.875 | 6.450 | 2.500 | SC-4 |
| 26 | 4.316 | 1.950 | 6.708 | 2.600 | UR |
| 27 | 4.482 | 2.025 | 6.966 | 2.700 | ST-2 |
| 28 | 4.648 | 2.100 | 7.224 | 2.800 | OBC-7 |
| 29 | 4.814 | 2.175 | 7.482 | 2.900 | UR |
| 30 | 4.980 | 2.250 | 7.740 | 3.000 | EWS-3 |
| 31 | 5.146 | 2.325 | 7.998 | 3.100 | SC-5 |
| 32 | 5.312 | 2.400 | 8.256 | 3.200 | OBC-8 |
| 33 | 5.478 | 2.475 | 8.514 | 3.300 | UR |
| 34 | 5.644 | 2.550 | 8.772 | 3.400 | UR |
| 35 | 5.810 | 2.625 | 9.030 | 3.500 | OBC-9 |
| 36 | 5.976 | 2.700 | 9.288 | 3.600 | UR |
| 37 | 6.142 | 2.775 | 9.546 | 3.700 | SC-6 |
| 38 | 6.308 | 2.850 | 9.804 | 3.800 | UR |
| 39 | 6.474 | 2.925 | 10.062 | 3.900 | OBC-10 |
| 40 | 6.640 | 3.000 | 10.320 | 4.000 | ST-3 |
| 41 | 6.806 | 3.075 | 10.578 | 4.100 | EWS-4 |
| 42 | 6.972 | 3.150 | 10.836 | 4.200 | UR |
| 43 | 7.138 | 3.225 | 11.094 | 4.300 | SC-7 |
| 44 | 7.304 | 3.300 | 11.352 | 4.400 | OBC-11 |
| 45 | 7.470 | 3.375 | 11.610 | 4.500 | UR |
| 46 | 7.636 | 3.450 | 11.868 | 4.600 | UR |
| 47 | 7.802 | 3.525 | 12.126 | 4.700 | OBC-12 |
| 48 | 7.968 | 3.600 | 12.384 | 4.800 | UR |
| 49 | 8.134 | 3.675 | 12.642 | 4.900 | SC-8 |
| 50 | 8.300 | 3.750 | 12.900 | 5.000 | EWS-5 |
| 51 | 8.466 | 3.825 | 13.158 | 5.100 | OBC-13 |
| 52 | 8.632 | 3.900 | 13.416 | 5.200 | UR |
| 53 | 8.798 | 3.975 | 13.674 | 5.300 | UR |
| 54 | 8.964 | 4.050 | 13.932 | 5.400 | ST-4 |
| 55 | 9.130 | 4.125 | 14.190 | 5.500 | OBC-14 |
| 56 | 9.296 | 4.200 | 14.448 | 5.600 | SC-9 |
| 57 | 9.462 | 4.275 | 14.706 | 5.700 | UR |
| 58 | 9.628 | 4.350 | 14.964 | 5.800 | UR |
| 59 | 9.794 | 4.425 | 15.222 | 5.900 | OBC-15 |
| 60 | 9.960 | 4.500 | 15.480 | 6.000 | EWS-6 |
| 61 | 10.126 | 4.575 | 15.738 | 6.100 | SC-10 |
| 62 | 10.292 | 4.650 | 15.996 | 6.200 | UR |
| 63 | 10.458 | 4.725 | 16.254 | 6.300 | OBC-16 |
| 64 | 10.624 | 4.800 | 16.512 | 6.400 | UR |
| 65 | 10.790 | 4.875 | 16.770 | 6.500 | UR |
| 66 | 10.956 | 4.950 | 17.028 | 6.600 | OBC-17 |
| 67 | 11.122 | 5.025 | 17.286 | 6.700 | SC-11 |
| 68 | 11.288 | 5.100 | 17.544 | 6.800 | ST-5 |
| 69 | 11.454 | 5.175 | 17.802 | 6.900 | UR |
| 70 | 11.620 | 5.250 | 18.060 | 7.000 | OBC-18 |
| 71 | 11.786 | 5.325 | 18.318 | 7.100 | EWS-7 |
| 72 | 11.952 | 5.400 | 18.576 | 7.200 | UR |
| 73 | 12.118 | 5.475 | 18.834 | 7.300 | SC-12 |
| 74 | 12.284 | 5.550 | 19.092 | 7.400 | OBC-19 |
| 75 | 12.450 | 5.625 | 19.350 | 7.500 | UR |
| 76 | 12.616 | 5.700 | 19.608 | 7.600 | UR |
| 77 | 12.782 | 5.775 | 19.866 | 7.700 | UR |
| 78 | 12.948 | 5.850 | 20.124 | 7.800 | OBC-20 |
| 79 | 13.114 | 5.925 | 20.382 | 7.900 | SC-13 |
| 80 | 13.280 | 6.000 | 20.640 | 8.000 | ST-6 |
| 81 | 13.446 | 6.075 | 20.898 | 8.100 | EWS-8 |
| 82 | 13.612 | 6.150 | 21.156 | 8.200 | OBC-21 |
| 83 | 13.778 | 6.225 | 21.414 | 8.300 | UR |
| 84 | 13.944 | 6.300 | 21.672 | 8.400 | UR |
| 85 | 14.110 | 6.375 | 21.930 | 8.500 | SC-14 |
| 86 | 14.276 | 6.450 | 22.188 | 8.600 | OBC-22 |
| 87 | 14.442 | 6.525 | 22.446 | 8.700 | UR |
| 88 | 14.608 | 6.600 | 22.704 | 8.800 | UR |
| 89 | 14.774 | 6.675 | 22.962 | 8.900 | UR |
| 90 | 14.940 | 6.750 | 23.220 | 9.000 | OBC-23 |
| 91 | 15.106 | 6.825 | 23.478 | 9.100 | SC-15 |
| 92 | 15.272 | 6.900 | 23.736 | 9.200 | EWS-9 |
| 93 | 15.438 | 6.975 | 23.994 | 9.300 | UR |
| 94 | 15.604 | 7.050 | 24.252 | 9.400 | OBC-24 |
| 95 | 15.770 | 7.125 | 24.510 | 9.500 | ST-7 |
| 96 | 15.936 | 7.200 | 24.768 | 9.600 | UR |
| 97 | 16.102 | 7.275 | 25.026 | 9.700 | SC-16 |
| 98 | 16.268 | 7.350 | 25:284 | 9.800 | OBC-25 |
| 99 | 16.434 | 7.425 | 25.542 | 9.900 | UR |
| 100 | 16.600 | 7.500 | 25.800 | 10.000 | EWS-10 |
| 101 | 16.766 | 7.575 | 26.058 | 10.100 | OBC-26 |
| 102 | 16.932 | 7.650 | 26.316 | 10.200 | UR |
| 103 | 17.098 | 7.725 | 26.574 | 10.300 | SC-17 |
| 104 | 17.264 | 7.800 | 26.832 | 10.400 | UR |
| 105 | 17.430 | 7.875 | 27.090 | 10.500 | OBC-27 |
| 106 | 17.596 | 7.950 | 27.348 | 10.600 | UR |
| 107 | 17.762 | 8.025 | 27.606 | 10.700 | ST-8 |
| 108 | 17.928 | 8.100 | 27.864 | 10.800 | UR |
| 109 | 18.094 | 8.175 | 28.122 | 10.900 | OBC-28 |
| 110 | 18.260 | 8.250 | 28.380 | 11.000 | SC-18 |
| 111 | 18.426 | 8.325 | 28.638 | 11.100 | EWS-11 |
| 112 | 18.592 | 8.400 | 28.896 | 11.200 | UR |
| 113 | 18.758 | 8.475 | 29.154 | 11.300 | OBC-29 |
| 114 | 18.924 | 8.550 | 29.412 | 11.400 | UR |
| 115 | 19.090 | 8.625 | 29.670 | 11.500 | SC-19 |
| 116 | 19.256 | 8.700 | 29.928 | 11.600 | EWS- 12** |
| 117 | 19.422 | 8.775 | 30.186 | 11.700 | OBC-30 |
| 118 | 19.588 | 8.850 | 30.444 | 11.800 | ST-9 |
| 119 | 19.754 | 8.925 | 30.702 | 11.900 | SC–20* |
| 120 | 19.920 | 9.000 | 30.960 | 12.000 | OBC-31* |
*/** Squeezing resorted with a view to maintain the prescribed percentage of reservation.
Annexure-V
FOR DIRECT RECRUITMENT
Model Roster for Direct Recruitment otherwise than through Open Competition for cadre strength upto 13 posts
| Cadre Strength | Initial Recrui-tment | Replacement No. | ||||||||||||
| 1st | 2nd | 3rd | 4th | 5 th | 6 th | 7 th | 8 th | 9 th | 10 th | 11 th | 12 th | 13 th | ||
| 1 | UR | UR | UR | OBC | UR | UR | SC | OBC | UR | EWS | UR | OBC | SC | ST |
| 2 | UR | UR | OBC | UR | UR | SC | OBC | UR | EWS | UR | OBC | SC | ST | |
| 3 | UR | OBC | UR | UR | SC | OBC | UR | EWS | UR | OBC | SC | ST | ||
| 4 | OBC | UR | UR | SC | OBC | UR | EWS | UR | OBC | UR | ST | |||
| 5 | UR | UR | SC | OBC | UR | EWS | UR | OBC | SC | ST | ||||
| 6 | UR | SC | OBC | UR | EWS | UR | OBC | SC | ST | |||||
| 7 | SC | OBC | UR | EWS | UR | OBC | SC | ST | ||||||
| 8 | OBC | UR | EWS | UR | OBC | SC | ST | |||||||
| 9 | UR | EWS | UR | OBC | SC | ST | ||||||||
| 10 | EWS | UR | OBC | SC | ST | |||||||||
| 11 | UR | OBC | SC | ST | ||||||||||
| 12 | OBC | SC | ST | |||||||||||
| 13 | SC | ST | ||||||||||||
Note:
1. For cadres of 2 to 13 posts the roster is to be read from entry 1 under column Cadre Strength till the last post and then horizontally till the last entry in the horizontal row i.e. like “L”
2. All the posts of a cadre are to be earmarked for the categories shown under column initial recruitment. While initial filling up will be by the earmarked category, the replacement against any of the post in the cadre shall be by rotation as shown horizontally against the last post of the cadre.












COMMENTS