Pharmacist – Medical Deptt Cadre – Revision of Channel of Promotion: Railway Board
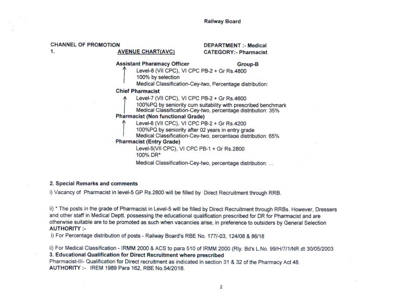
Railway Board
| CHANNEL OF PROMOTION | DEPARTMENT :- Medical | |
| CATEGORY:- Pharmacist | ||
| 1. | AVENUE CHART (AVC) | |
| Assistant Pharmacy Officer | Group B | |
| ^ | | |
Group-B Level-8 (VII CPC), VI CPC PB-2 + Gr Rs.4800 | |
| 100% by selection | ||
| Medical Classification-Gey-two, Percentage distribution: | ||
|
Chief Pharmacist |
||
| ^ | | |
Level-7 (VII CPC), VI CPC PB-2 + Gr Rs.4600 | |
| 100%PQ by seniority cum suitability with prescribed benchmark | ||
| Medical Classification-Gey-two, percentage distribution: 35% | ||
| Pharmacist (Non functional Grade) | ||
|
^ |
Level-6 (VII CPC), VI CPC PB-2 + Gr Rs.4200 | |
| 100%PQ by seniority after 02 years in entry grade | ||
| Medical Classification-Cev-two. percentaqe distribution: 65% | ||
| Pharmacist (Entry Grade) | ||
| Level-5(VII CPC), VI CPC PB-1 + Gr Rs.2800 | ||
| 100% DR* | ||
| Medical Classification-Gey-two, percentage distribution: … | ||
2. Special Remarks and comments
i) Vacancy of Pharmacist in level-5 GP Rs.2800 will be filled by Direct Recruitment through RRB.
ii) * The posts in the grade of Pharmacist in Level-5 will be filled by Direct Recruitment through RRBs. However, Dressers and other staff in Medical Oeptt. possessing the educational qualification prescribed for DR for Pharmacist and are otherwise suitable are to be promoted as such when vacancies arise, in preference to outsiders by General Selection
AUTHORITY :-
i) For Percentage distribution of posts – Railway Board’s RBE No. 177/-03, 124/08 & 86/18
ii) For Medical Classification – IRMM 2000 & ACS to para 510 of IRMM 2000 (Rly. Bd’s L.No. 99/H/7/1/NR dt 30/05/2003
3. Educational Qualification for Direct Recruitment where prescribed
Pharmacist-III- Qualification for Direct recruitment as indicated in section 31 & 32 of the Pharmacy Act 48.
AUTHORITY :- !REM 1989 Para 162, RBE No.54/2018.
Click to view Source Order and AVC of other Posts



COMMENTS