Corrigendum to order dated 24-05-2012 published by finmin on 10th May, 2012
Corrigendum – Central Government Employees Group Insurance Scheme-1980 —Tables of Benefits for the savings fund for the period from 01.01.2012 to 31.12.2012.
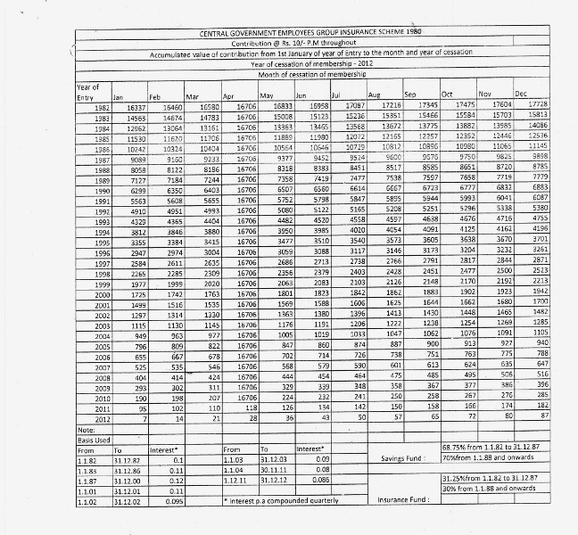
Table for Central Government Employee Group Insurance Scheme from 01-01-2012 to 31-12-2012 has been issued by Deptt of Expenditure, Ministry of Finance
No.7(1)/EV/2012
Government of India
Ministry of Finance
Government of India
Ministry of Finance
Department of Expenditure
New Delhi, the 24th April, 2012
OFFICE MEMORANDUM
Sub: Central Government Employees Group Insurance Scheme-1980 — Tables of Benefits for the savings fund for the period from 01.01.2012 to 31.12.2012.
The undersigned is directed to refer to this Ministry’s O.M. No.7 (1)/EV/2010 dated 31st January, 2011 forwarding therewith Tables of Benefits Ander CGEGIS for the year 2011. New Tables of Benefits for the savings fund of the Scheme based on a subscription of Rs. 10 per month from 1.1.1982 to 31.12.1989 and Rs. 15 per month w.e.f. 1.1.1990 onwards have been prepared for the year 2012 and a copy of the table is enclosed. Another Table of Benefits for the savings fund based on a subscription of Rs. 10 per month for those employees who had opted out of the revised rates of subscription w.e.f. 1.1.1990 have also been drawn up for the year 2012 and a copy of that table is also enclosed. The amounts in the Tables have been worked out on the basis of interest @ 10% per annum(compounded quarterly) for the period from 1.1.1982 to 31.12.1982, 11% per annum(compounded quarterly) w.e.f. 1.1.1983 to 31.12.1986, 12% per annum(compounded quarterly) w.e.f. 1.1.1987 to 31.12.2000, 11% per annum (compounded quarterly) w.e.f. 1.1.2001 to 31.12.2001, 9.5% per annum(compounded quarterly) w.e.f. 1.1.2002 to 31.12.2002, 9.0% per annum(compounded quarterly) w.e.f. 1.1.2003 to 31.12.2003, 8% per annum (compounded quarterly) w.e.f. 1.1.2004 to 30.11.2011 and 8.6% per annum (compounded quarterly) w.e.f. 1.12.2011 onwards. The mortality rate under the Scheme has been taken as 3.75 per thousand per annum up to 31.12.1987 and 3.60 per thousand per annum thereafter in both the cases. While calculating the amount it has been assumed that the subscription has been recovered or will be recovered from the salary of the month in which a member ceases to be in service failing which it should be deducted from accumulated amounts payable.
2. In its application to the employees of Indian Audit and Accounts Department this Office Memorandum issues in consultation with the Comptroller and Auditor General of India.
In hindi
![]() |
| CGEGIS TABLE 2012 ORDER IN HINDI |
![]() |
| CGEGIS TABLE 2012 PAGE 1 |
![]() |
| CGEGIS TABLE 2012 PAGE 2 |
Click here for .pdf file:
Table for Central Government Employees Group Insurance Scheme 1980(86 KB)
Subscribe to Central Government Employee News & Tools by Email




COMMENTS