HomeDoPT Order

Execution of Bond for Study: DoPT’s Notification for revision in Form-7,8,9 & 10

GOVERNMENT OF INDIA
MINISTRY OF PERSONNEL, PUBLIC GRIEVANCES AND PENSIONS
(DEPARTMENT OF PERSONNEL AND TRAINING)

NOTIFICATION

New Delhi, the 18 February, 2014

G.S.R. 96(E) In exercise of the powers conferred by the proviso to article 309 read with clause (5) of article 148 of the Constitution and after consultation with the Comptroller and Auditor General of India in relation to persons serving in the Indian Audit and Accounts Department, the President hereby makes the following rules further to amend the Central Civil Services (Leave) Rules, 1972, namely:-
1. (1) These rules may be called the Central Civil Services (Leave) Fourth Amendment Rules, 2013.
(2) They shall come into force on the date of their publication in the Official Gazette.
2. In the Central Civil Services (Leave) Rules, 1972, in rule 53, in sub-rule(4), –
(a) in Forms 7 and 8, after pars 4, the following para shall respectively, be inserted, namely:-

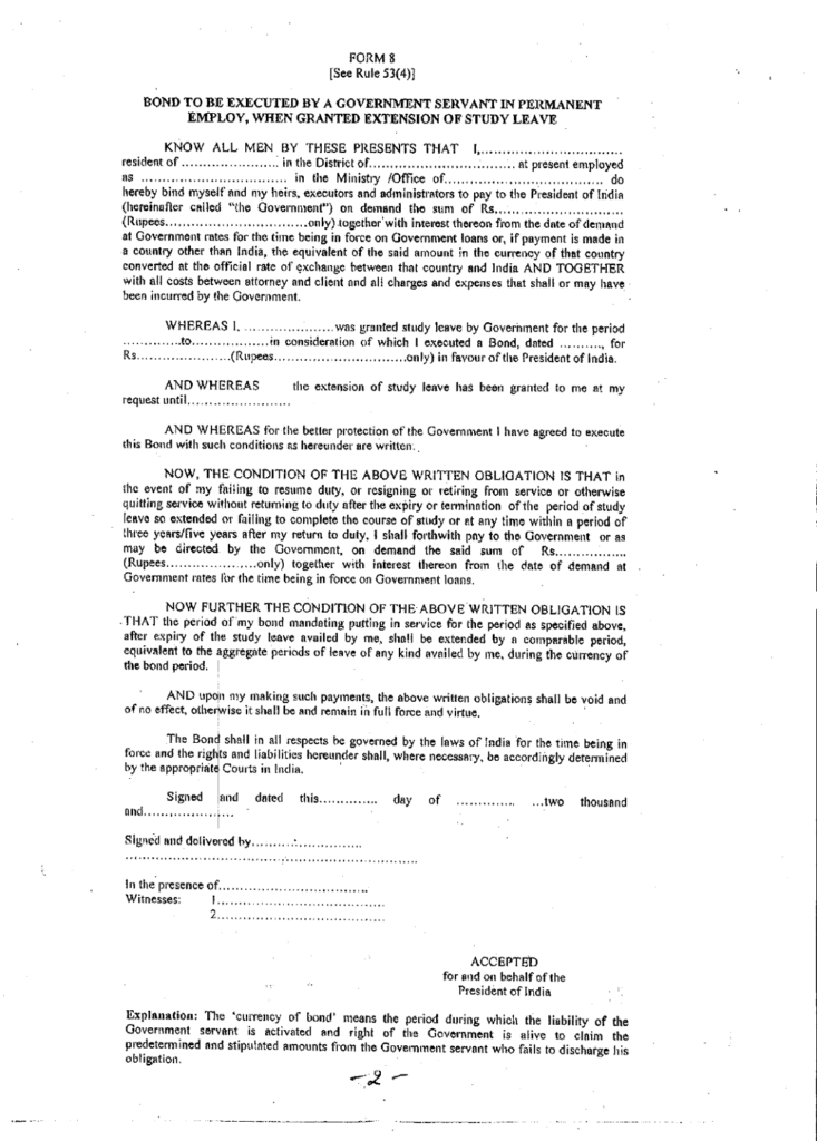
“NOW FURTHER THE CONDITION OF THE ABOVE WRITTEN OBLIGATION IS TI-TAT the period of my bond mandating putting in service for the period as specified above, after expiry of the study leave availed by me, shall be extended by a comparable period, equivalent to the aggregate periods of leave of, any kind availed by me during the currency of the bond period.”

(b) in Forms 9 and 10, after para 5, the following para shall respectively, be inserted, namely:-

“NOW FURTHER THE CONDITION OF. THE ABOVE WRITTEN OBLIGATION IS THAT the period of bond, mandating putting in service by the Obligor for the period as specified above, after expiry of the study leave availed by him or her, shall be extended by a comparable period, equivalent to the aggregate periods of leave of any kind availed by him or her during the currency of the bond period.”

[F. No. 13026/4/2012-Estt.(L)]
sd/-
(MAMTA KUNDRA)
Joint Secretary to he Government of India
Note:- The principal rules were published in the Gazette of India, Extraordinary, Part-11, Section 3, Sub-section (i), vide number S.O. 940 dated the 8th April, 1972 and were last amended vide number G.S.R. 283(E), dated the 4th April, 2012.
Copies of Bond:-
Form7

Form8

Form9

Form10 Page1

Form10 Page2

Form10 Page3

Source: www.persmin.nic.in
[http://documents.doptcirculars.nic.in/D2/D02est/13026_4_2012-Estt.L-18022014A.pdf]

Stay connected with us via Facebook, Google+ or Email Subscription.

Subscribe to Central Government Employee News & Tools by Email [Click Here]
Follow us: Twitter [click here] | Facebook [click here] Google+ [click here]
Admin

COMMENTS

WORDPRESS: 0