No. IV/NFIR/7th CPC/CORRES(R.B)
The Addl: Member (Budget),
Railway Board,
New Delhi
Dear Sir,
Sub: Impact of the recommendations of 7th CPC- reg.
Ref: AM(B) note No. 2015-B-265 dated 23/12/2015 addressed to GS/NFIR.
- During discussions with the Hon’ble MR and the Board (CRB, FC, MS) on 23rd December 2015, the NFIR General Secretary has expressed that there is all-round unhappiness on 7th CPC recommendations as in many cases the ‘Take Home Pay’ is either very marginal or less than what is received by the employee now. The Federation also disputed the estimated financial implications (Rs.28,500 crores) and said that the estimated expenditure has been exaggerated. It was also brought to the notice of the MR the retrograde recommendations of 7th CPC, while the case of Railway employees of various categories was not dealt adequately and the Railway Ministry has unfortunately not apprised the inadequacies of Grades Pay and Pay Band of 6th CPC to the Chairman, 7th CPC.
2. As desired vide note dated 23/12/2015, the Federation furnishes the followins details as Annexures to this letter.
(a) Table -I gives the position of 6th CPC minimum pay in Pay Band & Grade pay (PB-1 to PB-3) as on 01/01/2016.
(b) Table -I (a) explains the 7th CPC minimum pay from Level-l to Level-12 of the Pay Matrix.
(c) Table-II indicates 6th CPC minimum pay in GP + Pay Band without HRA.
Table-II (a) gives 7th CPC minimum pay without HRA (staff in occupation of Railway quarters are not entitled for HRA).
(d) Table-III shows the approximate 6th CPC pay of employees after drawal of 10 annual increments.
Table III(a) provides information pertaining to 7th CPC Pay (approx) for staff in Level-1 to Level-12 (Pay Matrix).
[A comparison between Table-III and Table-III(a) reveals that there will be marginal increase to those in Level-1 to Level-6. Although there will be an increase of more than 2400 to those in Level-7 to Level-12, the Income Tax deduction would reduce their ‘Net Take Home Pay.’]
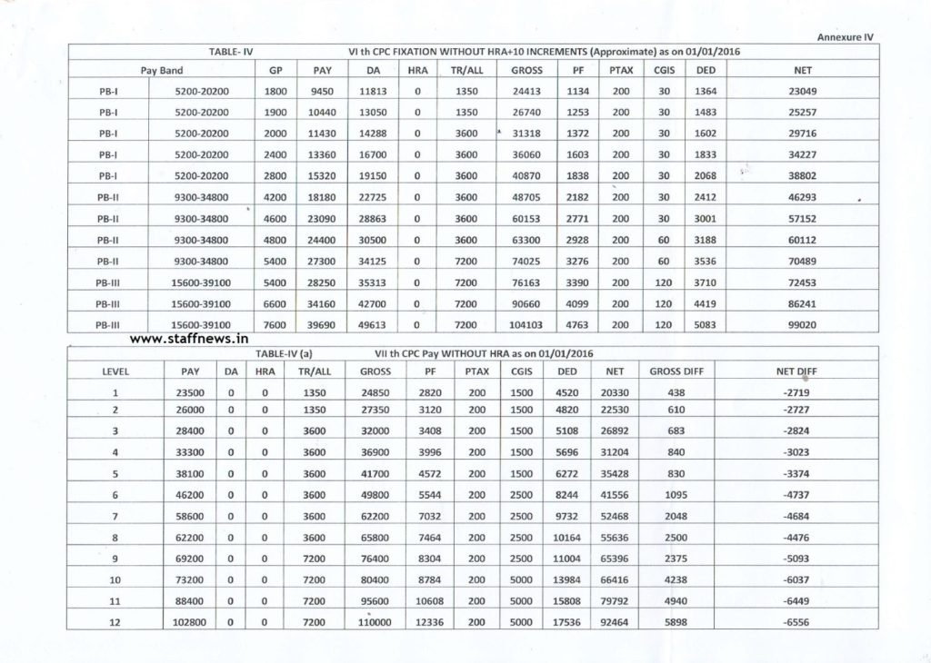
(e) Table-IV gives position of 6th CPC Pay of staff (without HRA + 10 annual increments – approx) as on 01/01/2016
Table-IV(a) explains 7th CPC Pay without HRA as on 01/01/2016.
[A comparison of Table-IV with Table-IV (a) reveals that those in 7th CPC Pay Matrix Level-1 to Level-12 will draw minus salary. With Income Tax deduction, the position may be more worse.]
Note: (i) In the case of employees living in Railway Quarters (nearly 40%) the financial
(ii) The unfilled vacancies are approximately over two lakhs since the last two years. The implications of HRA will be Zero. The costs of these posts have already been saved by the Indian Railways.
Encls: Annexure I to Annexure IV
Source: NFIR
Stay connected with us via Facebook, Google+ or Email Subscription.
Subscribe to Central Government Employee News & Tools by Email [Click Here]
Follow us: Twitter [click here] | Facebook [click here] | Google+ [click here]
Admin






COMMENTS