7th CPC Pay Matrix and Career Advancement Scheme for Teachers/Civilian Academic Officers of NDA & IMA – MoD Order dated 18th Feb 2020.
No. 3(1)/2017/D(Civ-II)
भारत सरकार / Government of India
रक्षा मंंत्रालय / Ministry of Defence
(रक्षा विभाग / Department of Defence)
रक्षा (सिव-II) अनुभाग
D (Civ-II) Section
B Wing, Sena Bhawan, New Delhi
Dated, the 181h February, 2020
To
The Chief of Defence Staff,
Ministry of Defence,
New Delhi-110011
The Chief of Army Staff,
Integrated HQrs of Ministry of Defence(Army),
New Deltii-110011
Subject: Revision of pay scales and Career Advancement Scheme for Teachers/Civilian Academic Officers of National Defence Academy, Khadakwasla and Army Cadet College Wing, Indian Military Academy, Dehradun.
Sir,
I am directed to refer to this Ministry’s letter No. 3/1/2009/D(Civ-II) dated 12.11.2009 extending the revised UGC pay scales to the Teachers/Civilian Academic Officers of NOA, Khadakwasla and ACC Wing, IMA, Dehradun and to state that in view of the revision of pay of Teachers and equivalent cadres in thn Universities and colleges as notified by Ministry of Human Resourse Development(MHRD) vide their letter No. 1-712015-U.11(1) dated 02.11.2017 read with MHRD Corrigendum No. 1-7/2015-U.11(1) dated 08.11.2017, MHRD letter No. 1-4/2017-U.II dated 28.01.2019 & Corrigendum No. 1-4/2017-U.II dated 01.02.2019 and UGC Regulations notified vide Notification No. F.1-2/2017 (EC/PS) dated 18.07.2018, the President is pleased to further revise the pay scales cf Civilian Academic Officers of NOA, Khadakwasla and ACC Wing, IMA, Dehradun. The revised pay scales and other provisions shall be as per the following paragraphs.
2. Designation: –
There shall be only three designations in respect of teachers/ Civilian Academic Officers namely, Assistant Professors, Associate Professors and Professors.
3. Revised Pay: –
(i) Pay Fixation Method:
The revised pay structure for different categories of teachers/Civilian Academic Officers is based on the following: –
(a) The formula followed by the 7th CPC is followed in the academic pay structure, moving from the concept of Pay Band and Academic Grade Pay to that of Academic Levels and Cells.
(b) The first academic level (corresponding to AGP of Rs. 6000) numbered as academic level 10. Similarly, the other academic levels arei 11, 12, 13A, 14 and 15.
(c) Each cell in an academic level is at 3% higher than the previous cell in that level.
(d) The index of Rationalisation (IOR) is 2.67 for present AGP less than Rs. 10,000 and 2.72 for the AGP of Rs. 10,000 and above.
(e) The entry pay for each level is as follows ·
| Level | Academic Grade Pay(Rs.) | Entry Pay(Rs.) |
| 10 | 6,000 | 21,600 |
| 11 | 7,000 | 25,790 |
| 12 | 8,000 | 29,900 |
| 13A | 9,000 | 49,200 |
| 14 | 10,000 | 53,000 |
| 15 | – | 67,000 |
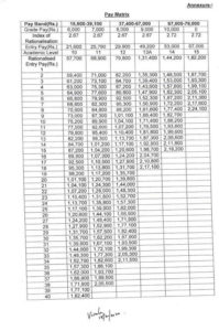
(f) The Pay Matrix based on the above propositions on Academic Levels, Cell and Entry Pay is at Annexure-I.
(g) For fixation of pay of an employee in the Pay Matrix as on 01st January, 2016, the existing pay (Pay in Pay Band plus Academic Grade Pay) in the pre-revised structure as on 31st December, 2015 shall be multiplied by a factor of 2.57. The figure so arrived at is to be located in tho Academic Level corresponding to employee’s Pay Band and Academic Grade Pay in the new Pay Matrix. If a Cell identical with the figure so arrived at is available in the appropriate Academic Level, that Cell shall be the revised pay; otherwise the next higher cell in that Academic Level shall be the revised pay of the employee . If the figure arrived at in the manner is less than the first cell in that Academic Level, then the par shall be fixed at the first cell of that Academic Level. If a situation arise whenever more than two stages are bunched together, one additional increment equal to 3 percent may be given for every two stage!> bunched, and pay fixed in the subsequent cell in the pay matrix.
(ii) Revised pay for Teachers/Civilian Academic Officers:
| No. | Existing Pay | Revised Pay |
| 1 | Assistant Professor
(at Rs 6000 AGP in PB Rs.15,600-39, 100) |
Assistant Professor
(at Academic Level 10 with rationalized entry pay of Rs. 57,700/-) – |
| 2 | Assistant Professor
(at Rs 7000 AGP in PB Rs.15,600-39, 100) |
Assistant Professor
(at Academic Level 11 with rationalized entry pay of Rs.68,900/-) |
| 3 | Assistant Professor
(at Rs 8000 AGP in PB Rs.15,600-39, 100) |
Assistant Professor
(at Academic Level 12 with rationalized entry pay of Rs.79,8001-) |
| 4 | Associate Professor
(at Rs 9000 AGP in PB Rs.37,400-67,000) |
Associate Professor
(at Academic Level 13A with rationalized entry pay of Rs.1,31,400/-) |
| 5 | Professor
(at Rs 10000 AGP in PB Rs.37,400-67,000) |
Professor
(at Academic Level 14 with rationalized entry pay of Rs.1,44,200/-) |
| 6 | Professor/ Vice-Principal/ Principal
(at Rs. 10,000 AGP in PB Rs. 37,400-67,000) |
Professor/ Vice-Principal/ Principal
(at Academic Level 14 with rationalised entry pay of Rs. 1,44,200/-) |
4. Increment: –
(i) The annual increment is given in the Pay Matrix at 3%, with each cell being higher by 3% over the previous cell in the same level, rounded off to nearest 100. The annual increments to each employee woulci move up in the same academic level, with an employee moving from the existing cell in the academic level to the immediate next cell in the same academic level.
(ii) There shall be two dates for grant of increment namely, 01st January and 1st July of every year, instead of existing date of 1st July, provided that an employee shall be entitled to only one annual increment on either one of these two dates depending on the date of appointment, promotion or grant of financial up-gradation.
5. Promotion: –
When an individual gets a promotion, his new pay on promotion would be fixed in the Pay Matrix as follows:
On promotion, he would be given a notional increment in his existing Academic Level of Pay, by moving him to next higher cell at that level. The pay shown in this cell would now be located in the new Academic level corresponding to the post to which he has been promoted. If a cell identical with that pay is available in the new level, that cell shall be the new pay; otherwise the next higher cell in that level shall be the new pay of the employee. If the pay arrived at in this manner is less than the first cell in the new level, then the pay shall be fixed at the first cell of that level.
6. Career Advancement Scheme: –
Stages of promotion under the GAS of incumbent and newly-appointed Assistant Professors/Associate Professors/Professors shall be as per the eligibility and GAS Promotion Criteria prescribed in para 6.4(B) of UGC Notification No. F.1-2/2017(EC/PS) dated 18.07.2018. These Regulations shall be applicable from the date of its notification.
7. Incentives for Ph.D./M.Phil and other higher qualifications: –
Incentives for Ph.D./M.Phil and other higher qualifications shall be applicable as prescribed in para 19.1 of UGC Notification No. F.1-2/2017(EC/P!3) dated 18.07.2018. These Regulations shall be applicable from the date of its notification.
8. Special Allowance to Principals of NDA and IMA :-
(i) Principal shall be given a Special Allowance at existing rate of Rs. 2000 p.m. till further orders.
(ii) The Principals at NOA, Khadakwasla and ACC Wing, IMA Dehradun will continue to be provided with rent-free unfurnished accommodation of their entitlement.
9. Service conditions and other allowances as applicable to central Govt servants: –
For all matters of service conditions and other allowances other than those mentioned in the foregoing paragraphs, namely pay scales, incentives for Research Qualifications and upward movements under Career Advance Scheme, the teachers/civilian academic officers will continue to be governed by the rule applicable to Defence Civilians in other defence establishments.
10. Date of implementation of revised pay and allowances and payment of arrears:-
(i) The revised Pay and revised rates of Dearness Allowance under this scheme shall be effective from 01.01.2016. Other allowance such as House Rent Allowance, Transport Allowance, Children Education Allowance, etc. admissible during the 5th CPC shall be revised as per MHRD letter No. 1-4/2017-U.II dated 28.01.2019 read with Corrigendum of even number dated 01.02.2019.
(ii) Payment of arrears shall be made during the financial year i.e. 2019 · 2020, after deduction of admissible income tax.
(iii) An undertaking shall be taken from every beneficiary under this scheme to the effect that any excess payment made on account c f incorrect fixation of pay in the revised Pay Level or grant of inappropriate Pay Level and Pay Cells or any other excess payment made shall be adjusted against the future payments due or otherwise to the beneficiary.
11. Recruitment Rules: –
Appointment/recruitment to all posts of Civilian Academic Officers will be carried out as per the qualifications prescribed under the UGC Scheme for the respective posts. HQIDS and DG/MT, IHQMOD(Army) may review the RRs to be in line with UGC scheme.
12. Further modifications/amendments, if any to the MHRD scheme of revision of pay of teachers as per 7th CPC issued vide MHRD letter No. 1-7/2015-U.II(I) dated 02.11.2017 read with MHRD Corrigendum No. 1-7/2015-U.11(1) dated 08.11.2017, MHRD letter No. 1-4/2017-U.ll dated 28.01.2019 & Corrigendum No. 1-4/2017-U.II dated 01.02.2019 and UGC Regulations notified vide UGC Notification No. F.1-2/2017(EC/PS) dated 18.07.2018 shall be applicable automatically to the teachers/Civilian Academic Officers of NDA/IMA.
13. Anomalies, if any, in the implementation of this Scheme may be brought to the notice of the Headquarter IDS and DGMT, Integrated Head Quarters or Ministry of Defence(Army) for clarification/decision of the Central Government.
14. Any clarifications on points other than pay and allowances will be provided by the concerned Division(s) dealing with the subject(s).
15. This issues with the approval of Ministry of Finance (Deptt. of Expenditure vide their U.O No. 10(4)/E.111(8)/2019 dated 27.01.2020/eFTS 1328639 and concurrence of Defence (Finance)(AG/PA) vide their U.O. No 1(31)/2009-AG/PA/16 dated 18.02.2020.
Yours Faithfully
Sd/-
(Vimala Vikram)
Under Secretary to the Govt of India



COMMENTS