Click here for One Rank One Pension to the Defence Forces personnel- DESW Circular
| Sl. No. | Category | Type of Pension | Table No | Click here to download File Name |
Size |
| 1 | Regular Commissioned Officers (Excluding Officers of AMC/ADC/RVC/MNS/TA/EC/SSC) | Retiring/Service Pension/Element | Table 1 | OROP-Table-01.pdf View Download |
145k |
| 2 | Regular Commissioned Officers (Excluding Officers of AMC/ADC/RVC/MNS/TA/EC/SSC) | Enhanced Rate of Ordinary Pension | Table 10 | OROP-Table-10.pdf View Download |
143k |
| 3 | Regular Commissioned Officers (Excluding Officers of AMC/ADC/RVC/MNS/TA/EC/SSC) | Normal Rate of Ordinary Pension | Table 19 | OROP-Table-19.pdf View Download |
142k |
| 4 | Regular Commissioned Officers (Excluding Officers of AMC/ADC/RVC/MNS/TA/EC/SSC) | Special Family Pension | Table 28 | OROP-Table-28.pdf View Download |
147k |
| 5 | Regular Commissioned Officers (Excluding Officers of AMC/ADC/RVC/MNS/TA/EC/SSC) | Special Dependent Family Pension/2nd Life award of Special Family Pension | Table 37 | OROP-Table-37.pdf View Download |
143k |
| 6 | Regular Commissioned Officers (Excluding Officers of AMC/ADC/RVC/MNS/TA/EC/SSC) | Liberalized Family Pension | Table 46 | OROP-Table-46.pdf View Download |
170k |
| 7 | Regular Commissioned Officers (Rates for both Parents) | Liberalized Dependent Pension/ 2nd Life Award of Liberalised Family Pension | Table 55 | OROP-Table-55.pdf View Download |
169k |
| 8 | Regular Commissioned Officers (Rates for single Parents) | Liberalized Dependent Pension/ 2nd Life Award of Liberalised Family Pension | Table 56 | OROP-Table-56.pdf View Download |
168k |
| 9 | Regular Commissioned Officers (Excluding Officers of AMC/ADC/RVC/MNS/TA/EC/SSC) | Disability Element | Table 70 | OROP-Table-70.pdf View Download |
163k |
| 10 | Regular Commissioned Officers (Excluding Officers of AMC/ADC/RVC/MNS/TA/EC/SSC) | War Injury Element (Discharge) | Table 79 | OROP-Table-79.pdf View Download |
167k |
| 11 | Regular Commissioned Officers (Excluding Officers of AMC/ADC/RVC/MNS/TA/EC/SSC) | War Injury Element (Invalided Out) | Table 88 | OROP-Table-88.pdf View Download |
167k |
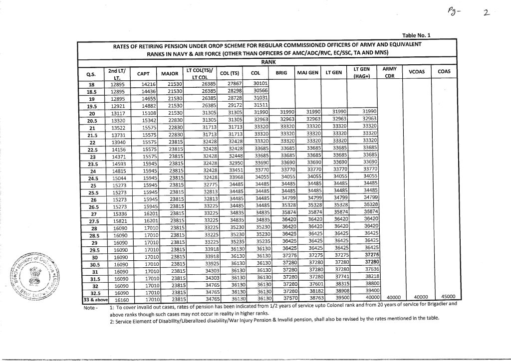
Table-1
|
RATES OF RETIRING PENSION UNDER OROP SCHEME FOR REGULAR COMMISSIONED OFFICERS OF ARMY AND EQUIVALENT RANKS IN NAVY & AIR FORCE (OTHER THAN OFFICERS OF AMC/ADC/RVC, EC/SSC, TA AND MNS) |
|||||||||||||
|
RANK |
|||||||||||||
Q.S. |
2nd LT/ LT. |
CAPT |
MAJOR
|
LT COL(TS)/
LT COL |
COL (TS)
|
COL
|
BRIG |
MAJ GEN
|
LT GEN
|
GEN (HAG+) |
ARMY CDR |
VCOAS
|
COAS
|
0.5 |
7574 |
8348 |
14719 |
17233 |
17233 |
17673 |
|||||||
1 |
7689 |
8475 |
14943 |
17499 |
17499 |
17942 |
|||||||
1.5 |
7808 |
8606 |
15174 |
17765 |
17765 |
18219 |
|||||||
2 |
7926 |
8737 |
15405 |
18040 |
18040 |
18496 |
|||||||
2.5 |
8049 |
8872 |
15643 |
18314 |
18314 |
18782 |
|||||||
3 |
8171 |
9007 |
15881 |
18597 |
18597 |
19068 |
|||||||
3.5 |
8297 |
9146 |
16127 |
18880 |
18880 |
19363 |
|||||||
4 |
8423 |
9285 |
16372 |
19172 |
19172 |
19657 |
|||||||
4.5 |
8553 |
9429 |
16625 |
19463 |
19463 |
19961 |
|||||||
5 |
8683 |
9572 |
16878 |
19764 |
19764 |
20264 |
|||||||
5.5 |
8817 |
9720 |
17139 |
20064 |
20064 |
20577 |
|||||||
6 |
8951 |
9868 |
17400 |
20374 |
20374 |
20890 |
|||||||
6.5 |
9089 |
10021 |
17669 |
20684 |
20684 |
21213 |
|||||||
7 |
9227 |
10173 |
17938 |
21004 |
21004 |
21536 |
|||||||
7.5 |
9370 |
10330 |
18215 |
21323 |
21323 |
21869 |
|||||||
8 |
9512 |
10487 |
18492 |
21653 |
21653 |
22202 |
|||||||
8.5 |
9659 |
10649 |
18778 |
21982 |
21982 |
22545 |
|||||||
9 |
9806 |
10811 |
19063 |
22322 |
22322 |
22888 |
|||||||
9.5 |
9958 |
10978 |
19358 |
22661 |
22661 |
23242 |
|||||||
10 |
10109 |
11145 |
19652 |
23011 |
23011 |
23595 |
|||||||
10.5 |
10265 |
11317 |
19956 |
23361 |
23361 |
23960 |
|||||||
11 |
10421 |
11489 |
20259 |
23722 |
23722 |
24324 |
|||||||
11.5 |
10582 |
11667 |
20572 |
24083 |
24083 |
24700 |
|||||||
12 |
10743 |
11844 |
20885 |
24455 |
24455 |
25076 |
|||||||
12.5 |
10909 |
12027 |
21208 |
24827 |
24827 |
25464 |
|||||||
13 |
11075 |
12210 |
21530 |
25211 |
25211 |
25851 |
|||||||
13.5 |
11246 |
12399 |
21530 |
25594 |
25594 |
26251 |
|||||||
14 |
11417 |
12587 |
21530 |
25990 |
25990 |
26650 |
|||||||
14.5 |
11594 |
12782 |
21530 |
26385 |
26385 |
27062 |
|||||||
15 |
11770 |
12976 |
21530 |
26385 |
26385 |
27474 |
|||||||
15.5 |
11952 |
13177 |
21530 |
26385 |
26385 |
27899 |
|||||||
16 |
12134 |
13377 |
21530 |
26385 |
26385 |
28323 |
|||||||
16.5 |
12322 |
13584 |
21530 |
26385 |
26626 |
28761 |
|||||||
17 |
12509 |
13790 |
21530 |
26385 |
27031 |
29198 |
|||||||
17.5 |
12702 |
14003 |
21530 |
26385 |
27449 |
29650 |
|||||||
18 |
12895 |
14216 |
21530 |
26385 |
27867 |
30101 |
|||||||
18.5 |
12895 |
14436 |
21530 |
26385 |
28298 |
30566 |
|||||||
19 |
12895 |
14655 |
21530 |
26385 |
28728 |
31031 |
|||||||
19.5 |
12921 |
14882 |
21530 |
26385 |
29172 |
31511 |
|||||||
20 |
13117 |
15108 |
21530 |
31305 |
31305 |
31990 |
31990 |
31990 |
31990 |
31990 |
|||
20.5 |
13320 |
15342 |
22830 |
31305 |
31305 |
32963 |
32963 |
32963 |
32963 |
32963 |
|||
21 |
13522 |
15575 |
22830 |
31713 |
31713 |
33320 |
33320 |
33320 |
33320 |
33320 |
|||
21.5 |
13731 |
15575 |
22830 |
31713 |
31713 |
33320 |
33320 |
33320 |
33320 |
33320 |
|||
22 |
13940 |
15575 |
23815 |
32428 |
32428 |
33320 |
33320 |
33320 |
33320 |
33320 |
|||
22.5 |
14156 |
15575 |
23815 |
32428 |
32428 |
33685 |
33685 |
33685 |
33685 |
33685 |
|||
23 |
14371 |
15575 |
23815 |
32428 |
32448 |
33685 |
33685 |
33685 |
33685 |
33685 |
|||
23.5 |
14593 |
15945 |
23815 |
32428 |
32950 |
33690 |
336901 |
33690 |
33690 |
33690 |
|||
24 |
14815 |
15945 |
23815 |
32428 |
33451 |
33770 |
33770 |
33770 |
33770 |
33770 |
|||
24.5 |
15044 |
15945 |
23815 |
32428 |
33968 |
34055 |
34055 |
34055 |
34055 |
34055 |
|||
25 |
15273 |
15945 |
23815 |
32775 |
34485 |
34485 |
34485 |
34485 |
34485 |
34485 |
|||
25.5 |
15273 |
15945 |
23815 |
32813 |
34485 |
34485 |
34485 |
34485 |
34485 |
34485 |
|||
26 |
15273 |
15945 |
23815 |
32813 |
34485 |
34485 |
34799 |
34799 |
34799 |
34799 |
|||
26.5 |
15273 |
15945 |
23815 |
33225 |
34485 |
34485 |
35328 |
35328 |
35328 |
35328 |
|||
27 |
15336 |
16201 |
23815 |
33225 |
34835 |
34835 |
35874 |
35874 |
35874 |
35874 |
|||
27.5 |
15821 |
16201 |
23815 |
33225 |
34835 |
34835 |
36420 |
36420 |
36420 |
36420 |
|||
28 |
16090 |
17010 |
23815 |
33225 |
35230 |
35230 |
36420 |
36420 |
36420 |
36420 |
|||
28.5 |
16090 |
17010 |
23815 |
33225 |
35230 |
35230 |
36425 |
36425 |
36425 |
36425 |
|||
29 |
16090 |
17010 |
23815 |
33225 |
35235 |
35235 |
36425 |
36425 |
36425 |
36425 |
|||
29.5 |
16090 |
17010 |
23815 |
33918 |
36130 |
36130 |
36425 |
36425 |
36425 |
36425 |
|||
30 |
16090 |
17010 |
23815 |
33918 |
36130 |
36130 |
37275 |
37275 |
37275 |
37275 |
|||
30.5 |
16090 |
17010 |
23815 |
33925 |
36130 |
36130 |
37280 |
37280 |
37280 |
37280 |
|||
31 |
16090 |
17010 |
23815 |
34303 |
36130 |
36130 |
37280 |
37280 |
37280 |
37636 |
|||
31.5 |
16090 |
17010 |
23815. |
34303 |
36130 |
36130 |
37280 |
37280 |
37741 |
38218 |
|||
32 |
16090 |
17010 |
23815 |
34765 |
36130 |
36130 |
37280 |
37601 |
38315 |
38800 |
|||
32.5 |
16090 |
17010 |
23815 |
34765 |
36130 |
36130 |
37280 |
38182 |
38908 |
39400 |
|||
33 & above |
16160 |
17010 |
23815 |
34765 |
36130 |
36130 |
37570 |
38763 |
39500 |
40000 |
40000 |
40000 |
45000 |
Note :-
1: To cover invalid out cases, rates of pension has been indicated from 1/2 years of service upto Colonel rank and from 20 years of service for Brigadier
and above ranks though such cases may not occur in reality in higher ranks.
2: Service Element of Disability/Liberalized disability/War Injury Pension & Invalid pension, shall also be revised by the rates mentioned in the
table.
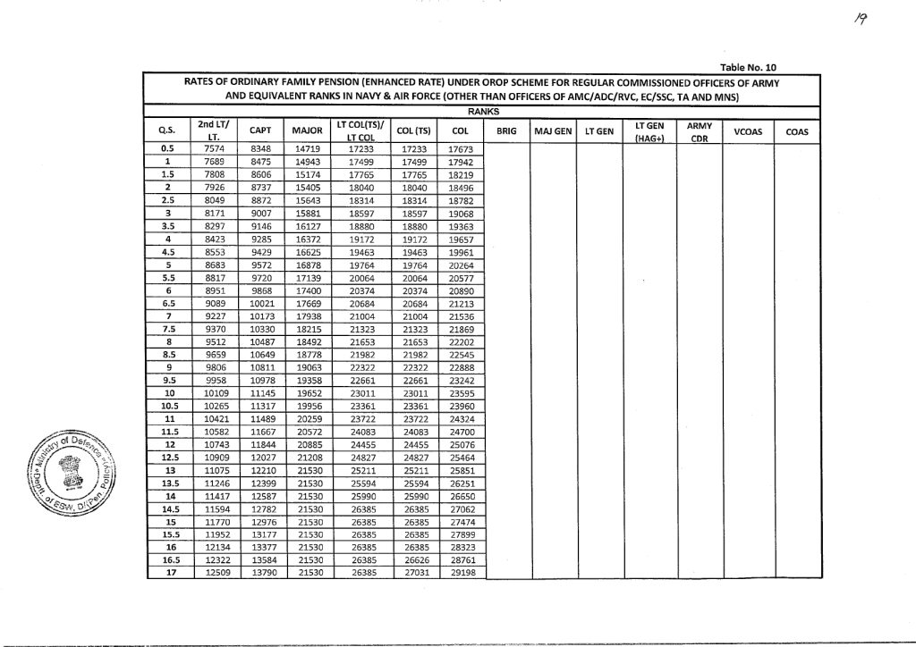
Table -10
|
RATES OF ORDINARY FAMILY PENSION (ENHANCED RATE) UNDER OROP SCHEME FOR REGULAR
COMMISSIONED OFFICERS OF ARMY AND EQUIVALENT RANKS IN NAVY & AIR FORCE (OTHER THAN OFFICERS OF AMC/ADC/RVC, EC/SSC, TA AND MNS |
|||||||||||||
|
RANKS
|
|||||||||||||
|
Q.S.
|
2nd LT/ LT. |
CAPT
|
MAJOR
|
LT COL(TS)/ LT COL |
COL (TS)
|
COL
|
BRIG
|
MAJ GEN
|
LT GEN
|
LT GEN (HAG+) |
ARMY CDR |
VCOAS
|
COAS
|
| 0.5 |
7574 |
8348 |
14719 |
17233 |
17233 |
17673 |
|||||||
| 1 |
7689 |
8475 |
14943 |
17499 |
17499 |
17942 |
|||||||
| 1.5 |
7808 |
8606 |
15174 |
17765 |
17765 |
18219 |
|||||||
| 2 |
7926 |
8737 |
15405 |
18040 |
18040 |
18496 |
|||||||
| 2.5 |
8049 |
8872 |
15643 |
18314 |
18314 |
18782 |
|||||||
| 3 |
8171 |
9007 |
15881 |
18597 |
18597 |
19068 |
|||||||
| 3.5 |
8297 |
9146 |
16127 |
18880 |
18880 |
19363 |
|||||||
| 4 |
8423 |
9285 |
16372 |
19172 |
19172 |
19657 |
|||||||
| 4.5 |
8553 |
9429 |
16625 |
19463 |
19463 |
19961 |
|||||||
| 5 |
8683 |
9572 |
16878 |
19764 |
19764 |
20264 |
|||||||
| 5.5 |
8817 |
9720 |
17139 |
20064 |
20064 |
20577 |
|||||||
| 6 |
8951 |
9868 |
17400 |
20374 |
20374 |
20890 |
|||||||
| 6.5 |
9089 |
10021 |
17669 |
20684 |
20684 |
21213 |
|||||||
| 7 |
9227 |
10173 |
17938 |
21004 |
21004 |
21536 |
|||||||
| 7.5 |
9370 |
10330 |
18215 |
21323 |
21323 |
21869 |
|||||||
| 8 |
9512 |
10487 |
18492 |
21653 |
21653 |
22202 |
|||||||
| 8.5 |
9659 |
10649 |
18778 |
21982 |
21982 |
22545 |
|||||||
| 9 |
9806 |
10811 |
19063 |
22322 |
22322 |
22888 |
|||||||
| 9.5 |
9958 |
10978 |
19358 |
22661 |
22661 |
23242 |
|||||||
| 10 |
10109 |
11145 |
19652 |
23011 |
23011 |
23595 |
|||||||
| 10.5 |
10265 |
11317 |
19956 |
23361 |
23361 |
23960 |
|||||||
| 11 |
10421 |
11489 |
20259 |
23722 |
23722 |
24324 |
|||||||
| 11.5 |
10582 |
11667 |
20572 |
24083 |
24083 |
24700 |
|||||||
| 12 |
10743 |
11844 |
20885 |
24455 |
24455 |
25076 |
|||||||
| 12.5 |
10909 |
12027 |
21208 |
24827 |
24827 |
25464 |
|||||||
| 13 |
11075 |
12210 |
21530 |
25211 |
25211 |
25851 |
|||||||
| 13.5 |
11246 |
12399 |
21530 |
25594 |
25594 |
26251 |
|||||||
| 14 |
11417 |
12587 |
21530 |
25990 |
25990 |
26650 |
|||||||
| 14.5 |
11594 |
12782 |
21530 |
26385 |
26385 |
27062 |
|||||||
| 15 |
11770 |
12976 |
21530 |
26385 |
26385 |
27474 |
|||||||
| 15.5 |
11952 |
13177 |
21530 |
26385 |
26385 |
27899 |
|||||||
| 16 |
12134 |
13377 |
21530 |
26385 |
26385 |
28323 |
|||||||
| 16.5 |
12322 |
13584 |
21530 |
26385 |
26626 |
28761 |
|||||||
| 17 |
12509 |
13790 |
21530 |
26385 |
27031 |
29198 |
|||||||
| 17.5 |
12702 |
14003 |
21530 |
26385 |
27449 |
29650 |
|||||||
| 18 |
12895 |
14216 |
21530 |
26385 |
27867 |
30101 |
|||||||
| 18.5 |
12895 |
14436 |
21530 |
26385 |
28298 |
30566 |
|||||||
| 19 |
12895 |
14655 |
21530 |
26385 |
28728 |
31031 |
|||||||
| 19.5 |
12921 |
14882 |
21530 |
26385 |
29172 |
31511 |
|||||||
| 20 |
13117 |
15108 |
21530 |
31305 |
31305 |
31990 |
31990 |
31990 |
31990 |
31990 |
|||
| 20.5 |
13320 |
15342 |
22830 |
31305 |
31305 |
32963 |
32963 |
32963 |
32963 |
32963 |
|||
| 21 |
13522 |
15575 |
22830 |
31713 |
31713 |
33320 |
33320 |
33320 |
33320 |
33320 |
|||
| 21.5 |
13731 |
15575 |
22830 |
31713 |
31713 |
33320 |
33320 |
33320 |
33320 |
33320 |
|||
| 22 |
13940 |
15575 |
23815 |
32428 |
32428 |
33320 |
33320 |
33320 |
33320 |
33320 |
|||
| 22.5 |
14156 |
15575 |
23815 |
32428 |
32428 |
33685 |
33685 |
33685 |
33685 |
33685 |
|||
| 23 |
14371 |
15575 |
23815 |
32428 |
32448 |
33685 |
33685 |
33685 |
33685 |
33685 |
|||
| 23.5 |
14593 |
15945 |
23815 |
32428 |
32950 |
33690 |
33690 |
33690 |
33690 |
33690 |
|||
| 24 |
14815 |
15945 |
23815 |
32428 |
33451 |
33770 |
33770 |
33770 |
33770 |
33770 |
|||
| 245 |
15044 |
15945 |
23815 |
32428 |
33968 |
34055 |
34055 |
34055 |
34055 |
34055 |
|||
| 25 |
15273 |
15945 |
23815 |
32775 |
34485 |
34485 |
34485 |
34485 |
34485 |
34485 |
|||
| 25.5 |
15273 |
15945 |
23815 |
32813 |
34485 |
34485 |
34485 |
34485 |
34485 |
34485 |
|||
| 26 |
15273 |
15945 |
23815 |
32813 |
34485 |
34485 |
34799 |
34799 |
34799 |
34799 |
|||
| 26.5 |
15273 |
15945 |
23815 |
33225 |
34485 |
34485 |
35328 |
35328 |
35328 |
35328 |
|||
| 27 |
15336 |
16201 |
23815 |
33225 |
34835 |
34835 |
35874 |
35874 |
35874 |
35874 |
|||
| 27.5 |
15821 |
16201 |
23815 |
33225 |
34835 |
34835 |
36420 |
36420 |
36420 |
36420 |
|||
| 28 |
16090 |
17010 |
23815 |
33225 |
35230 |
35230 |
36420 |
36420 |
36420 |
36420 |
|||
| 28.5 |
16090 |
17010 |
23815 |
33225 |
35230 |
35230 |
36425 |
36425 |
36425 |
36425 |
|||
| 29 |
16090 |
17010 |
23815 |
33225 |
35235 |
35235 |
36425 |
36425 |
36425 |
36425 |
|||
| 293 |
16090 |
17010 |
23815 |
33918 |
36130 |
36130 |
36425 |
36425 |
36425 |
36425 |
|||
| 30 |
16090 |
17010 |
23815 |
33918 |
36130 |
36130 |
37275 |
37275 |
37275 |
37275 |
|||
| 30.5 |
16090 |
17010 |
23815 |
33925 |
36130 |
36130 |
37280 |
37280 |
37280 |
37280 |
|||
| 31 |
16090 |
17010 |
23815 |
34303 |
36130 |
36130 |
37280 |
37280 |
37280 |
37636 |
|||
| 31.5 |
16090 |
17010 |
23815 |
34303 |
36130 |
36130 |
37280 |
37280 |
37741 |
38218 |
|||
| 32 |
16090 |
17010 |
23815 |
34765 |
36130 |
36130 |
37280 |
37601 |
38315 |
38800 |
|||
| 32.5 |
16090 |
17010 |
23815 |
34765 |
36130 |
36130 |
37280 |
38182 |
38908 |
39400 |
|||
33 & above |
16160 |
17010 |
23815 |
34765 |
36130 |
36130 |
37570 |
38763 |
39500 |
40000 |
40000 |
40000 |
45000 |
Note -1: To cover death in service cases rates of pension has been indicated from 1/2 years of service upto Colonel rank and from 20 years of service for
Brigadier and above ranks though such cases may not occur in reality in higher ranks.
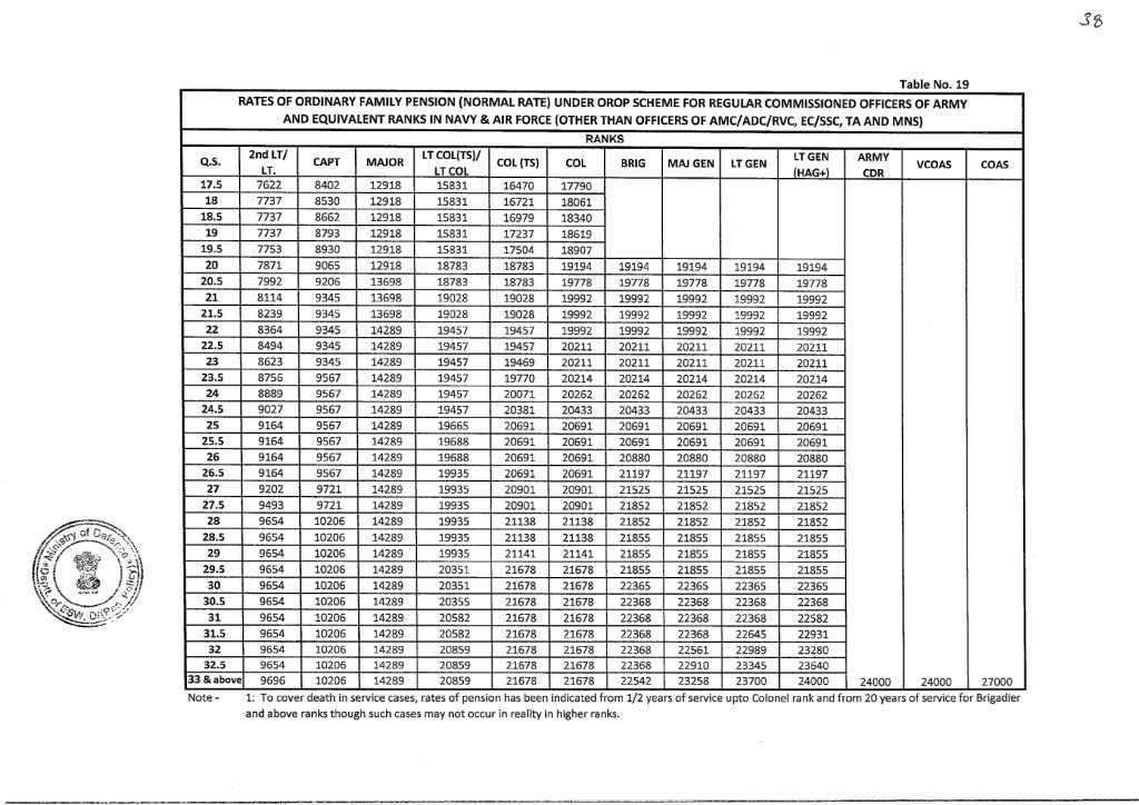
Table – 19
|
RATES OF ORDINARY FAMILY PENSION (NORMAL RATE) UNDER OROP SCHEME FOR REGULAR COMMISSIONED OFFICERS OF ARMY AND EQUIVALENT RANKS IN NAVY & AIR FORCE (OTHER THAN OFFICERS OF AMC/ADC/RVC, EC/SSC, TA AND MNS) |
|||||||||||||
|
RANKS
|
|||||||||||||
|
Q.S
|
2nd LT/ LT. |
CAPT
|
MAJOR
|
LT COL(TS)/ LT COL |
COL (TS)
|
COL
|
BRIG
|
MAJ GEN
|
LT GEN
|
LT GEN (HAG+) |
ARMY CDR |
VCOAS
|
COAS
|
| 0.5 |
4545 |
5009 |
8832 |
10340 |
10340 |
10604 |
|||||||
| 1 |
4614 |
5085 |
8966 |
10500 |
10500 |
10766 |
|||||||
| 1.5 |
4685 |
5164 |
9105 |
10659 |
10659 |
10932 |
|||||||
| 2 |
4756 |
5243 |
9243 |
10824 |
10824 |
11098 |
|||||||
| 2.5 |
4830 |
5324 |
9386 |
10989 |
10989 |
11270 |
|||||||
| 3 |
4903 |
5405 |
9529 |
11159 |
11159 |
11441 |
|||||||
| 3.5 |
4979 |
5488 |
9677 |
11328 |
11328 |
11618 |
|||||||
| 4 |
5054 |
5571 |
9824 |
11504 |
11504 |
11795 |
|||||||
| 4.5 |
5132 |
5658 |
9975 |
11678 |
11678 |
11977 |
|||||||
| 5 |
5210 |
5744 |
10127 |
11859 |
11859 |
12159 |
|||||||
| 5.5 |
5291 |
5832 |
10284 |
12039 |
12039 |
12347 |
|||||||
| 6 |
5371 |
5921 |
10440 |
12225 |
12225 |
12534 |
|||||||
| 6.5 |
5454 |
6013 |
10602 |
12411 |
12411 |
12728 |
|||||||
| 7 |
5537 |
6104 |
10763 |
12603 |
12603 |
12922 |
|||||||
| 7.5 |
5622 |
6198 |
10929 |
12794 |
12794 |
13122 |
|||||||
| 8 |
5708 |
6293 |
11096 |
12992 |
12992 |
13322 |
|||||||
| 8.5 |
5796 |
6390 |
11267 |
13190 |
13190 |
13527 |
|||||||
| 9 |
5884 |
6487 |
11438 |
13394 |
13394 |
13733 |
|||||||
| 9.5 |
5975 |
6587 |
11615 |
13597 |
13597 |
13946 |
|||||||
| 10 |
6066 |
6687 |
11792 |
13807 |
13807 |
14157 |
|||||||
| 10.5 |
6159 |
6791 |
11974 |
14017 |
14017 |
14376 |
|||||||
| 11 |
6253 |
6894 |
12156 |
14234 |
14234 |
14595 |
|||||||
| 11.5 |
6350 |
7001 |
12344 |
14450 |
14450 |
14820 |
|||||||
| 12 |
6446 |
7107 |
12531 |
14673 |
14673 |
15046 |
|||||||
| 12.5 |
6546 |
7217 |
12725 |
14897 |
14897 |
15279 |
|||||||
| 13 |
6645 |
7326 |
12918 |
15127 |
15127 |
15511 |
|||||||
| 13.5 |
6748 |
7440 |
12918 |
15357 |
15357 |
15751 |
|||||||
| 14 |
6851 |
7553 |
12918 |
15594 |
15594 |
15990 |
|||||||
| 14.5 |
6957 |
7670 |
12918 |
15831 |
15831 |
16238 |
|||||||
| 15 |
7062 |
7786 |
12918 |
15831 |
15831 |
16485 |
|||||||
| 15.5 |
7172 |
7907 |
12918 |
15831 |
15831 |
16740 |
|||||||
| 16 |
7281 |
8027 |
12918 |
15831 |
15831 |
16994 |
|||||||
| 16.5 |
7394 |
8151 |
12918 |
15831 |
15976 |
17257 |
|||||||
| 17 |
7506 |
8274 |
12918 |
15831 |
16219 |
17519 |
|||||||
| 17.5 |
7622 |
8402 |
12918 |
15831 |
16470 |
17790 |
|||||||
| 18 |
7737 |
8530 |
12918 |
15831 |
16721 |
18061 |
|||||||
| 18.5 |
7737 |
8662 |
12918 |
15831 |
16979 |
18340 |
|||||||
| 19 |
7737 |
8793 |
12918 |
15831 |
17237 |
18619 |
|||||||
| 19.5 |
7753 |
8930 |
12918 |
15831 |
17504 |
18907 |
|||||||
| 20 |
7871 |
9065 |
12918 |
18783 |
18783 |
19194 |
19194 |
19194 |
19194 |
19194 |
|||
| 20.5 |
7992 |
9206 |
13698 |
18783 |
18783 |
19778 |
19778 |
19778 |
19778 |
19778 |
|||
| 21 |
8114 |
9345 |
13698 |
19028 |
19028 |
19992 |
19992 |
19992 |
19992 |
19992 |
|||
| 21.5 |
8239 |
9345 |
13698 |
19028 |
19028 |
19992 |
19992 |
19992 |
19992 |
19992 |
|||
| 22 |
8364 |
9345 |
14289 |
19457 |
19457 |
19992 |
19992 |
19992 |
19992 |
19992 |
|||
| 22.5 |
8494 |
9345 |
14289 |
19457 |
19457 |
20211 |
20211 |
20211 |
20211 |
20211 |
|||
| 23 |
8623 |
9345 |
14289 |
19457 |
19469 |
20211 |
20211 |
20211 |
20211 |
20211 |
|||
| 23.5 |
8756 |
9567 |
14289 |
19457 |
19770 |
20214 |
20214 |
20214 |
20214 |
20214 |
|||
| 24 |
8889 |
9567 |
14289 |
19457 |
20071 |
20262 |
20262 |
20262 |
20262 |
20262 |
|||
| 24.5 |
9027 |
9567 |
14289 |
19457 |
20381 |
20433 |
20433 |
20433 |
20433 |
20433 |
|||
| 25 |
9164 |
9567 |
14289 |
19665 |
20691 |
20691 |
20691 |
20691 |
20691 |
20691 |
|||
| 25.5 |
9164 |
9567 |
14289 |
19688 |
20691 |
20691 |
20691 |
20691 |
20691 |
20691 |
|||
| 26 |
9164 |
9567 |
14289 |
19688 |
20691 |
20691 |
20880 |
20880 |
20880 |
20880 |
|||
| 26.5 |
9164 |
9567 |
14289 |
19935 |
20691 |
20691 |
21197 |
21197 |
21197 |
21197 |
|||
| 27 |
9202 |
9721 |
14289 |
19935 |
20901 |
20901 |
21525 |
21525 |
21525 |
21525 |
|||
| 27.5 |
9493 |
9721 |
14289 |
19935 |
20901 |
20901 |
21852 |
21852 |
21852 |
21852 |
|||
| 28 |
9654 |
10206 |
14289 |
19935 |
21138 |
21138 |
21852 |
21852 |
21852 |
21852 |
|||
| 28.5 |
9654 |
10206 |
14289 |
19935 |
21138 |
21138 |
21855 |
21855 |
21855 |
21855 |
|||
| 29 |
9654 |
10206 |
14289 |
19935 |
21141 |
21141 |
21855 |
21855 |
21855 |
21855 |
|||
| 29.5 |
9654 |
10206 |
14289 |
20351 |
21678 |
21678 |
21855 |
21855 |
21855 |
21855 |
|||
| 30 |
9654 |
10206 |
14289 |
20351 |
21678 |
21678 |
22365 |
22365 |
22365 |
22365 |
|||
| 30.5 |
9654 |
10206 |
14289 |
20355 |
21678 |
21678 |
22368 |
22368 |
22368 |
22368 |
|||
| 31 |
9654 |
10206 |
14289 |
20582 |
21678 |
21678 |
22368 |
22368 |
22368 |
22582 |
|||
| 31.5 |
9654 |
10206 |
14289 |
20582 |
21678 |
21678 |
22368 |
22368 |
22645 |
22931 |
|||
| 32 |
9654 |
10206 |
14289 |
20859 |
21678 |
21678 |
22368 |
22561 |
22989 |
23280 |
|||
| 32.5 |
9654 |
10206 |
14289 |
20859 |
21678 |
21678 |
22368 |
22910 |
23345 |
23640 |
|||
| 33 & above |
9696 |
10206 |
14289 |
20859 |
21678 |
21678 |
22542 |
23258 |
23700 |
24000 |
24000 |
24000 |
27000 |
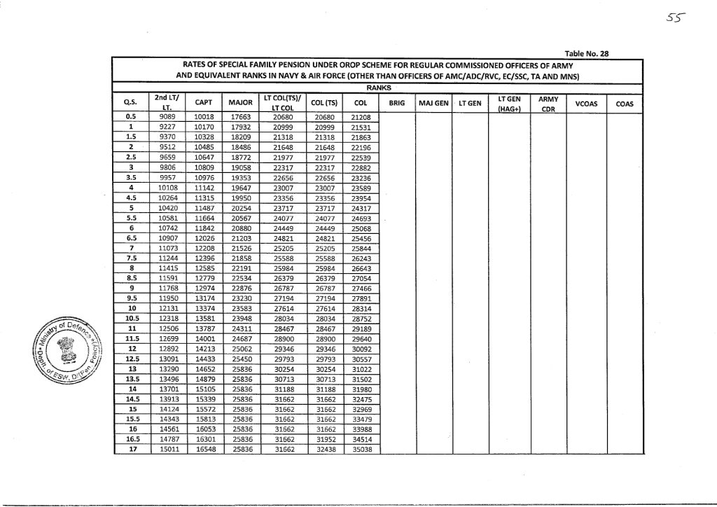
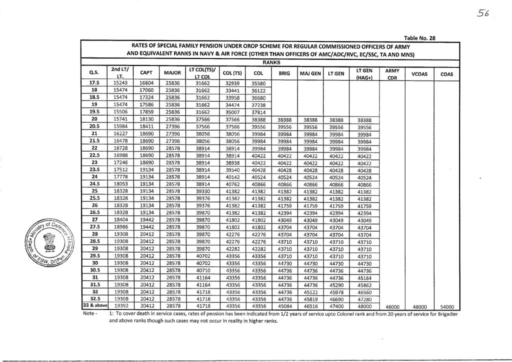
TABLE – 28
|
RATES OF SPECIAL FAMILY PENSION UNDER OROP SCHEME FOR REGULAR COMMISSIONED OFFICERS OF ARMY AND EQUIVALENT RANKS IN NAVY & AIR FORCE (OTHER THAN OFFICERS OF AMC/ADC/RVC, EC/SSC, TA AND MNS) |
|||||||||||||
|
RANKS
|
|||||||||||||
|
Q.S.
|
2nd LT/
LT.
|
CAPT
|
MAJOR
|
LT COL(TS)/
LT COL
|
COL (TS)
|
COL
|
BRIG
|
MAJ GEN
|
LT GEN
|
LT GEN
(HAG+)
|
ARMY
CDR
|
VCOAS
|
COAS
|
|
0.5
|
9089 |
10018 |
17663 |
20680 |
20680 |
21208 |
|||||||
|
1
|
9227 |
10170 |
17932 |
20999 |
20999 |
21531 |
|||||||
|
1.5
|
9370 |
10328 |
18209 |
21318 |
21318 |
21863 |
|||||||
|
2
|
9512 |
10485 |
18486 |
21648 |
21648 |
22196 |
|||||||
|
2.5
|
9659 |
10647 |
18772 |
21977 |
21977 |
22539 |
|||||||
|
3
|
9806 |
10809 |
19058 |
22317 |
22317 |
22882 |
|||||||
|
3.5
|
9957 |
10976 |
19353 |
22656 |
22656 |
23236 |
|||||||
|
4
|
10108 |
11142 |
19647 |
23007 |
23007 |
23589 |
|||||||
|
4.5
|
10264 |
11315 |
19950 |
23356 |
23356 |
23954 |
|||||||
|
5
|
10420 |
11487 |
20254 |
23717 |
23717 |
24317 |
|||||||
|
5.5
|
10581 |
11664 |
20567 |
24077 |
24077 |
24693 |
|||||||
|
6
|
10742 |
11842 |
20880 |
24449 |
24449 |
25068 |
|||||||
|
6.5
|
10907 |
12026 |
21203 |
24821 |
24821 |
25456 |
|||||||
|
7
|
11073 |
12208 |
21526 |
25205 |
25205 |
25844 |
|||||||
|
7.5
|
11244 |
12396 |
21858 |
25588 |
25588 |
26243 |
|||||||
|
8
|
11415 |
12585 |
22191 |
25984 |
25984 |
26643 |
|||||||
|
8.5
|
11591 |
12779 |
22534 |
26379 |
26379 |
27054 |
|||||||
|
9
|
11768 |
12974 |
22876 |
26787 |
26787 |
27466 |
|||||||
|
9.5
|
11950 |
13174 |
23230 |
27194 |
27194 |
27891 |
|||||||
|
10
|
12131 |
13374 |
23583 |
27614 |
27614 |
28314 |
|||||||
|
10.5
|
12318 |
13581 |
23948 |
28034 |
28034 |
28752 |
|||||||
|
11
|
12506 |
13787 |
24311 |
28467 |
28467 |
29189 |
|||||||
|
11.5
|
12699 |
14001 |
24687 |
28900 |
28900 |
29640 |
|||||||
|
12
|
12892 |
14213 |
25062 |
29346 |
29346 |
30092 |
|||||||
|
12.5
|
13091 |
14433 |
25450 |
29793 |
29793 |
30557 |
|||||||
|
13
|
13290 |
14652 |
25836 |
30254 |
30254 |
31022 |
|||||||
|
13.5
|
13496 |
14879 |
25836 |
30713 |
30713 |
31502 |
|||||||
|
14
|
13701 |
15105 |
25836 |
31188 |
31188 |
31980 |
|||||||
|
14.5
|
13913 |
15339 |
25836 |
31662 |
31662 |
32475 |
|||||||
|
15
|
14124 |
15572 |
25836 |
31662 |
31662 |
32969 |
|||||||
|
15.5
|
14343 |
15813 |
25836 |
31662 |
31662 |
33479 |
|||||||
|
16
|
14561 |
16053 |
25836 |
31662 |
31662 |
33988 |
|||||||
|
16.5
|
14787 |
16301 |
25836 |
31662 |
31952 |
34514 |
|||||||
|
17
|
15011 |
16548 |
25836 |
31662 |
32438 |
35038 |
|||||||
|
17.5
|
15243 |
16804 |
25836 |
31662 |
32939 |
35580 |
|||||||
|
18
|
15474 |
17060 |
25836 |
31662 |
33441 |
36122 |
|||||||
|
18.5
|
15474 |
17324 |
25836 |
31662 |
33958 |
36680 |
|||||||
|
19
|
15474 |
17586 |
25836 |
31662 |
34474 |
37238 |
|||||||
|
19.5
|
15506 |
17859 |
25836 |
31662 |
35007 |
37814 |
|||||||
|
20
|
15741 |
18130 |
25836 |
37566 |
37566 |
38388 |
38388 |
38388 |
38388 |
38388 |
|||
|
20.5
|
15984 |
18411 |
27396 |
37566 |
37566 |
39556 |
39556 |
39556 |
39556 |
39556 |
|||
|
21
|
16227 |
18690 |
27396 |
38056 |
38056 |
39984 |
39984 |
39984 |
39984 |
39984 |
|||
|
21.5
|
16478 |
18690 |
27396 |
38056 |
38056 |
39984 |
39984 |
39984 |
39984 |
39984 |
|||
|
22
|
16728 |
18690 |
28578 |
38914 |
38914 |
39984 |
39984 |
39984 |
39984 |
39984 |
|||
|
22.5
|
16988 |
18690 |
28578 |
38914 |
38914 |
40422 |
40422 |
40422 |
40422 |
40422 |
|||
|
23
|
17246 |
18690 |
28578 |
38914 |
38938 |
40422 |
40422 |
40422 |
40422 |
40422 |
|||
|
23.5
|
17512 |
19134 |
28578 |
38914 |
39540 |
40428 |
40428 |
40428 |
40428 |
40428 |
|||
|
24
|
17778 |
19134 |
28578 |
38914 |
40142 |
40524 |
40524 |
40524 |
40524 |
40524 |
|||
|
24.5
|
18053 |
19134 |
28578 |
38914 |
40762 |
40866 |
40866 |
40866 |
40866 |
40866 |
|||
|
25
|
18328 |
19134 |
28578 |
39330 |
41382 |
41382 |
41382 |
41382 |
41382 |
41382 |
|||
|
25.5
|
18328 |
19134 |
28578 |
39376 |
41382 |
41382 |
41382 |
41382 |
41382 |
41382 |
|||
|
26
|
18328 |
19134 |
28578 |
39376 |
41382 |
41382 |
41759 |
41759 |
41759 |
41759 |
|||
|
26.5
|
18328 |
19134 |
28578 |
39870 |
41382 |
41382 |
42394 |
42394 |
42394 |
42394 |
|||
|
27
|
18404 |
19442 |
28578 |
39870 |
41802 |
41802 |
43049 |
43049 |
43049 |
43049 |
|||
|
27.5
|
18986 |
19442 |
28578 |
39870 |
41802 |
41802 |
43704 |
43704 |
43704 |
43704 |
|||
|
28
|
19308 |
20412 |
28578 |
39870 |
42276 |
42276 |
43704 |
43704 |
43704 |
43704 |
|||
|
28.5
|
19308 |
20412 |
28578 |
39870 |
42276 |
42276 |
43710 |
43710 |
43710 |
43710 |
|||
|
29
|
19308 |
20412 |
28578 |
39870 |
42282 |
42282 |
43710 |
43710 |
43710 |
43710 |
|||
|
29.5
|
19308 |
20412 |
28578 |
40702 |
43356 |
43356 |
43710 |
43710 |
43710 |
43710 |
|||
|
30
|
19308 |
20412 |
28578 |
40702 |
43356 |
43356 |
44730 |
44730 |
44730 |
44730 |
|||
|
30.5
|
19308 |
20412 |
28578 |
40710 |
43356 |
43356 |
44736 |
44736 |
44736 |
44736 |
|||
|
31
|
19308 |
20412 |
28578 |
41164 |
43356 |
43356 |
44736 |
44736 |
44736 |
45164 |
|||
|
31.5
|
19308 |
20412 |
28578 |
41164 |
43356 |
43356 |
44736 |
44736 |
45290 |
45862 |
|||
|
32
|
19308 |
20412 |
28578 |
41718 |
43356 |
43356 |
44736 |
45122 |
45978 |
46560 |
|||
|
32.5
|
19308 |
20412 |
28578 |
41718 |
43356 |
43356 |
44736 |
45819 |
46690 |
47280 |
|||
|
33 & above
|
19392 |
20412 |
28578 |
41718 |
43356 |
43356 |
45084 |
46516 |
47400 |
48000 |
48000 |
48000 |
54000 |
Note –
1. To cover death in service cases rates of pension has been indicated from 1/2 years of service upto Colonel rank and from 20 years of service for
Brigadier and above ranks though such cases may not occur in reality in higher ranks.
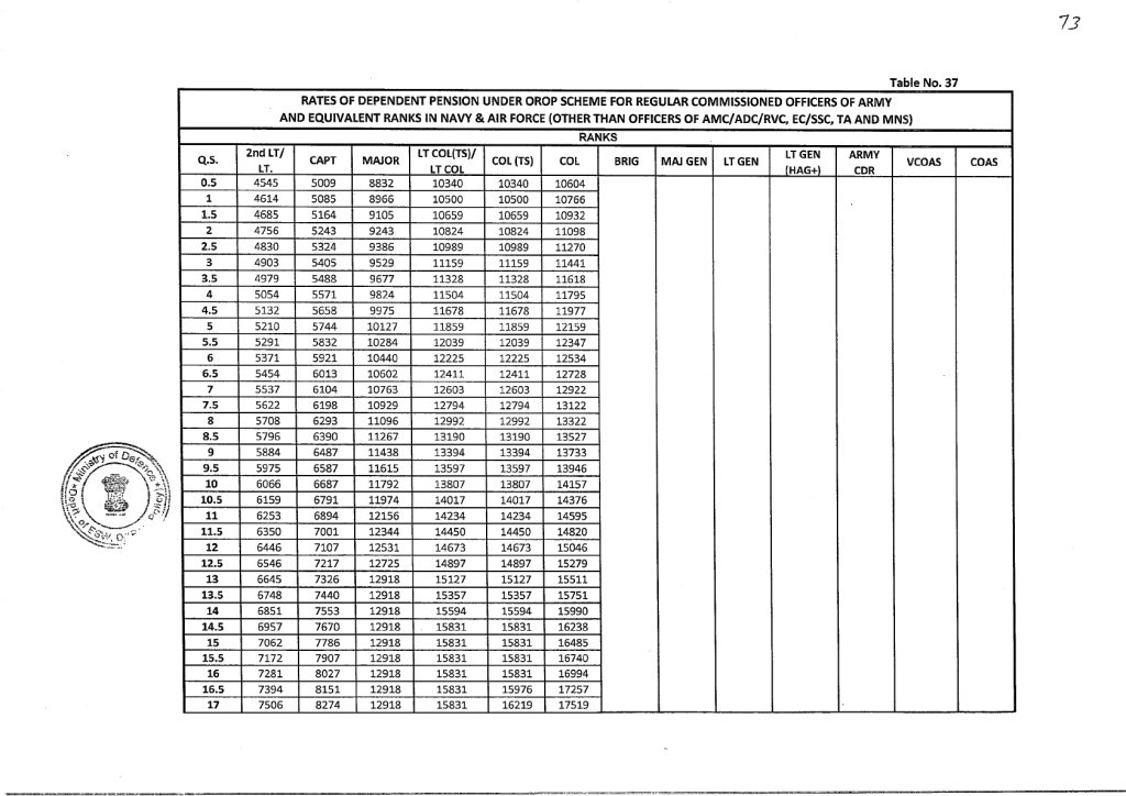
Table-37
|
RATES OF DEPENDENT PENSION UNDER OROP SCHEME FOR REGULAR COMMISSIONED OFFICERS OF ARMY AND EQUIVALENT RANKS IN NAVY & AIR FORCE (OTHER THAN OFFICERS OF AMC/ADC/RVC, EC/SSC, TA AND MNS) |
|||||||||||||
|
RANKS
|
|||||||||||||
|
Q.S.
|
2nd LT/ LT. |
CAPT
|
MAJOR
|
LT COL(TS)/ LT COL |
COL (TS)
|
COL
|
BRIG
|
MAJ GEN
|
LT GEN
|
LT GEN (HAG+) |
ARMY CDR |
VCOAS
|
COAS
|
| 0.5 |
4545 |
5009 |
8832 |
10340 |
10340 |
10604 |
, |
||||||
| 1 |
4614 |
5085 |
8966 |
10500 |
10500 |
10766 |
|||||||
| 1.5 |
4685 |
5164 |
9105 |
10659 |
10659 |
10932 |
|||||||
| 2 |
4756 |
5243 |
9243 |
10824 |
10824 |
11098 |
|||||||
| 2.5 |
4830 |
5324 |
9386 |
10989 |
10989 |
11270 |
|||||||
| 3 |
4903 |
5405 |
9529 |
11159 |
11159 |
11441 |
|||||||
| 3.5 |
4979 |
5488 |
9677 |
11328 |
11328 |
11618 |
|||||||
| 4 |
5054 |
5571 |
9824 |
11504 |
11504 |
11795 |
|||||||
| 4.5 |
5132 |
5658 |
9975 |
11678 |
11678 |
11977 |
|||||||
| 5 |
5210 |
5744 |
10127 |
11859 |
11859 |
12159 |
|||||||
| 5.5 |
5291 |
5832 |
10284 |
12039 |
12039 |
12347 |
|||||||
| 6 |
5371 |
5921 |
10440 |
12225 |
12225 |
12534 |
|||||||
| 6.5 |
5454 |
6013 |
10602 |
12411 |
12411 |
12728 |
|||||||
| 7 |
5537 |
6104 |
10763 |
12603 |
12603 |
12922 |
|||||||
| 7.5 |
5622 |
6198 |
10929 |
12794 |
12794 |
13122 |
|||||||
| 8 |
5708 |
6293 |
11096 |
12992 |
12992 |
13322 |
|||||||
| 8.5 |
5796 |
6390 |
11267 |
13190 |
13190 |
13527 |
|||||||
| 9 |
5884 |
6487 |
11438 |
13394 |
13394 |
13733 |
|||||||
| 9.5 |
5975 |
6587 |
11615 |
13597 |
13597 |
13946 |
|||||||
| 10 |
6066 |
6687 |
11792 |
13807 |
13807 |
14157 |
|||||||
| 10.5 |
6159 |
6791 |
11974 |
14017 |
14017 |
14376 |
|||||||
| 11 |
6253 |
6894 |
12156 |
14234 |
14234 |
14595 |
|||||||
| 11.5 |
6350 |
7001 |
12344 |
14450 |
14450 |
14820 |
|||||||
| 12 |
6446 |
7107 |
12531 |
14673 |
14673 |
15046 |
|||||||
| 12.5 |
6546 |
7217 |
12725 |
14897 |
14897 |
15279 |
|||||||
| 13 |
6645 |
7326 |
12918 |
15127 |
15127 |
15511 |
|||||||
| 13.5 |
6748 |
7440 |
12918 |
15357 |
15357 |
15751 |
|||||||
| 14 |
6851 |
7553 |
12918 |
15594 |
15594 |
15990 |
|||||||
| 14.5 |
6957 |
7670 |
12918 |
15831 |
15831 |
16238 |
|||||||
| 15 |
7062 |
7786 |
12918 |
15831 |
15831 |
16485 |
|||||||
| 15.5 |
7172 |
7907 |
12918 |
15831 |
15831 |
16740 |
|||||||
| 16 |
7281 |
8027 |
12918 |
15831 |
15831 |
16994 |
|||||||
| 16.5 |
7394 |
8151 |
12918 |
15831 |
15976 |
17257 |
|||||||
| 17 |
7506 |
8274 |
12918 |
15831 |
16219 |
17519 |
|||||||
| 17.5 |
7622 |
8402 |
12918 |
15831 |
16470 |
17790 |
|||||||
| 18 |
7737 |
8530 |
12918 |
15831 |
16721 |
18061 |
|||||||
| 18.5 |
7737 |
8662 |
12918 |
15831 |
16979 |
18340 |
|||||||
| 19 |
7737 |
8793 |
12918 |
15831 |
17237 |
18619 |
|||||||
| 19.5 |
7753 |
8930 |
12918 |
15831 |
17504 |
18907 |
|||||||
| 20 |
7871 |
9065 |
12918 |
18783 |
18783 |
19194 |
19194 |
19194 |
19194 |
19194 |
|||
| 20.5 |
7992 |
9206 |
13698 |
18783 |
18783 |
19778 |
19778 |
19778 |
19778 |
19778 |
|||
| 21 |
8114 |
9345 |
13698 |
19028 |
19028 |
19992 |
19992 |
19992 |
19992 |
19992 |
|||
| 21.5 |
8239 |
9345 |
13698 |
19028 |
19028 |
19992 |
19992 |
19992 |
19992 |
19992 |
|||
| 22 |
8364 |
9345 |
14289 |
19457 |
19457 |
19992 |
19992 |
19992 |
19992 |
19992 |
|||
| 22.5 |
8494 |
9345 |
14289 |
19457 |
19457 |
20211 |
20211 |
20211 |
20211 |
20211 |
|||
| 23 |
8623 |
9345 |
14289 |
19457 |
19469 |
20211 |
20211 |
20211 |
20211 |
20211 |
|||
| 23.5 |
8756 |
9567 |
14289 |
19457 |
19770 |
20214 |
20214 |
20214 |
20214 |
20214 |
|||
| 24 |
8889 |
9567 |
14289 |
19457 |
20071 |
20262 |
20262 |
20262 |
20262 |
20262 |
|||
| 24.5 |
9027 |
9567 |
14289 |
19457 |
20381 |
20433 |
20433 |
20433 |
20433 |
20433 |
|||
| 25 |
9164 |
9567 |
14289 |
19665 |
20691 |
20691 |
20691 |
20691 |
20691 |
20691 |
|||
| 25.5 |
9164 |
9567 |
14289 |
19688 |
20691 |
20691 |
20691 |
20691 |
20691 |
20691 |
|||
| 26 |
9164 |
9567 |
14289 |
19688 |
20691 |
20691 |
20880 |
20880 |
20880 |
20880 |
|||
| 26.5 |
9164 |
9567 |
14289 |
19935 |
20691 |
20691 |
21197 |
21197 |
21197 |
21197 |
|||
| 27 |
9202 |
9721 |
14289 |
19935 |
20901 |
20901 |
21525 |
21525 |
21525 |
21525 |
|||
| 27.5 |
9493 |
9721 |
14289 |
19935 |
20901 |
20901 |
21852 |
21852 |
21852 |
21852 |
|||
| 28 |
9654 |
10206 |
14289 |
19935 |
21138 |
21138 |
21852 |
21852 |
21852 |
21852 |
|||
| 28.5 |
9654 |
10206 |
14289 |
19935 |
21138 |
21138 |
21855 |
21855 |
21855 |
21855 |
|||
| 29 |
9654 |
10206 |
14289 |
19935 |
21141 |
21141 |
21855 |
21855 |
21855 |
21855 |
|||
| 29.5 |
9654 |
10206 |
14289 |
20351 |
21678 |
21678 |
21855 |
21855 |
21855 |
21855 |
|||
| 30 |
9654 |
10206 |
14289 |
20351 |
21678 |
21678 |
22365 |
22365 |
22365 |
22365 |
|||
| 30.5 |
9654 |
10206 |
14289 |
20355 |
21678 |
21678 |
22368 |
22368 |
22368 |
22368 |
|||
| 31 |
9654 |
10206 |
14289 |
20582 |
21678 |
21678 |
22368 |
22368 |
22368 |
22582 |
|||
| 31.5 |
9654 |
10206 |
14289 |
20582 |
21678 |
21678 |
22368 |
22368 |
22645 |
22931 |
|||
| 32 |
9654 |
10206 |
14289 |
20859 |
21678 |
21678 |
22368 |
22561 |
22989 |
23280 |
|||
| 32.5 |
9654 |
10206 |
14289 |
20859 |
21678 |
21678 |
22368 |
22910 |
23345 |
23640 |
|||
| 33 & above |
9696 |
10206 |
14289 |
20859 |
21678 |
21678 |
22542 |
23258 |
23700 |
24000 |
24000 |
24000 |
27000 |
Note – 1: To cover death in service cases rates of pension has been indicated from 1/2 years of service upto Colonel rank and from 20 years of service for Brigadier and above ranks though such cases may not occur in reality in higher ranks.
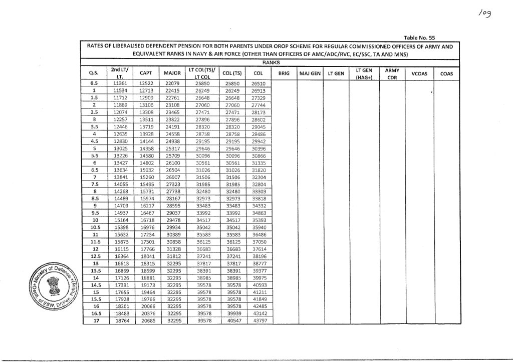
Table-55
|
RATES OF LIBERALISED DEPENDENT PENSION FOR BOTH PARENTS UNDER (DROP SCHEME FOR REGULAR COMMISSIONED OFFICERS OF ARMY AND EQUIVALENT RANKS IN NAVY & AIR FORCE (OTHER THAN OFFICERS OF AMC/ADC/RVC, EC/SSC, TA AND MNS) |
|||||||||||||
|
RANKS
|
|||||||||||||
|
Q.S.
|
2nd LT/ LT. |
CAPT
|
MAJOR
|
IT COL(TS)/ LT COL |
COL (TS)
|
COL
|
BRIG
|
MAJ GEN
|
LT GEN
|
LT GEN (HAG+) |
ARMY CDR |
VCOAS |
COAS
|
| 0.5 | 11361 |
12522 |
22079 |
25850 |
25850 |
26510 |
|||||||
| 1 | 11534 |
12713 |
22415 |
26249 |
26249 |
26913 |
|||||||
| 1.5 | 11712 |
12909 |
22761 |
26648 |
26648 |
27329 |
|||||||
| 2 | 11889 |
13106 |
23108 |
27060 |
27060 |
27744 |
|||||||
| 2.5 | 12074 |
13308 |
23465 |
27471 |
27471 |
28173 |
|||||||
| 3 | 12257 |
13511 |
23822 |
27896 |
27896 |
28602 |
|||||||
| 3.5 | 12446 |
13719 |
24191 |
28320 |
28320 |
29045 |
|||||||
| 4 | 12635 |
13928 |
24558 |
28758 |
28758 |
29486 |
|||||||
| 4.5 | 12830 |
14144 |
24938 |
29195 |
29195 |
29942 |
|||||||
| 5 | 13025 |
14358 |
25317 |
29646 |
29646 |
30396 |
|||||||
| 5.5 | 13226 |
14580 |
25709 |
30096 |
30096 |
30866 |
|||||||
| 6 | 13427 |
14802 |
26100 |
30561 |
30561 |
31335 |
|||||||
| 6.5 | 13634 |
15032 |
26504 |
31026 |
31026 |
31820 |
|||||||
| 7 | 13841 |
15260 |
26907 |
31506 |
31506 |
32304 |
|||||||
| 7.5 | 14055 |
15495 |
27323 |
31985 |
31985 |
32804 |
|||||||
| 8 | 14268 |
15731 |
27738 |
32480 |
32480 |
33303 |
|||||||
| 8.5 | 14489 |
15974 |
28167 |
32973 |
32973 |
33818 |
|||||||
| 9 | 14709 |
16217 |
28595 |
33483 |
33483 |
34332 |
|||||||
| 9.5 | 14937 |
16467 |
29037 |
33992 |
33992 |
34863 |
|||||||
| 10 | 15164 |
16718 |
29478 |
34517 |
34517 |
35393 |
|||||||
| 10.5 | 15398 |
16976 |
29934 |
35042 |
35042 |
35940 |
|||||||
| 11 | 15632 |
17234 |
30389 |
35583 |
35583 |
36486 |
|||||||
| 11.5 | 15873 |
17501 |
30858 |
36125 |
36125 |
37050 |
|||||||
| 12 | 16115 |
17766 |
31328 |
36683 |
36683 |
37614 |
|||||||
| 12.5 | 16364 |
18041 |
31812 |
37241 |
37241 |
38196 |
|||||||
| 13 | 16613 |
18315 |
32295 |
37817 |
37817 |
38777 |
|||||||
| 13.5 | 16869 |
18599 |
32295 |
38391 |
38391 |
39377 |
|||||||
| 14 | 17126 |
18881 |
32295 |
38985 |
38985 |
39975 |
|||||||
| 14.5 | 17391 |
19173 |
32295 |
39578 |
39578 |
40593 |
|||||||
| 15 | 17655 |
19464 |
32295 |
39578 |
39578 |
41211 |
|||||||
| 15.5 | 17928 |
19766 |
32295 |
39578 |
39578 |
41849 |
|||||||
| 16 | 18201 |
20066 |
32295 |
39578 |
39578 |
42485 |
|||||||
| 16.5 | 18483 |
20376 |
32295 |
39578 |
39939 |
43142 |
|||||||
| 17 | 18764 |
20685 |
32295 |
39578 |
40547 |
43797 |
|||||||
| 17.5 |
19053
|
21005
|
32295
|
39578
|
41174
|
44475
|
|||||||
| 18 |
19343
|
21324
|
32295
|
39578
|
41801
|
45152
|
|||||||
| 18.5 |
19343
|
21654
|
32295
|
39578
|
42447
|
45849
|
|||||||
| 19 |
19343
|
21983
|
32295
|
39578
|
43092
|
46547
|
|||||||
| 19.5 |
19382
|
22323
|
32295
|
39578
|
43758
|
47267
|
|||||||
| 20 |
19676
|
22662
|
32295
|
46958
|
46958
|
47985
|
47985
|
47985
|
47985
|
47985
|
|||
| 203 |
19980
|
23013
|
34245
|
46958
|
46958
|
49445
|
49445
|
49445
|
49445
|
49445
|
|||
| 21 |
20283
|
23363
|
34245
|
47570
|
47570
|
49980
|
49980
|
49980
|
49980
|
49980
|
|||
| 21.5 |
20597
|
23363
|
34245
|
47570
|
47570
|
49980
|
49980
|
49980
|
49980
|
49980
|
|||
| 22 |
20910
|
23363
|
35723
|
48642
|
48642
|
49980
|
49980
|
49980
|
49980
|
49980
|
|||
| 22.5 |
21234
|
23363
|
35723
|
48642
|
48642
|
50528
|
50528
|
50528
|
50528
|
50528
|
|||
| 23 |
21557
|
23363
|
35723
|
48542
|
48672
|
50528
|
50528
|
50528
|
50528
|
50528
|
|||
| 23.5 |
21890
|
23918
|
35723
|
48642
|
49425
|
50535
|
50535
|
50535
|
50535
|
50535
|
|||
| 24 |
22223
|
23918
|
35723
|
48642
|
50177
|
50655
|
50655
|
50655
|
50655
|
50655
|
|||
| 24.5 |
22566
|
23918
|
35723
|
48642
|
50952
|
51083
|
51083
|
51083
|
51083
|
51083
|
|||
| 25 |
22910
|
23918
|
35723
|
49153
|
51728
|
51728
|
51728
|
51728
|
51728
|
51728
|
|||
| 25.5 |
22910
|
23918
|
35723
|
49220
|
51728
|
51728
|
51728
|
51728
|
51728
|
51728
|
|||
| 26 |
22910
|
23918
|
35723
|
49220
|
51728
|
51728
|
52199
|
52199
|
52199
|
52199
|
|||
| 26.5 |
22910
|
23918
|
35723
|
49838
|
51728
|
51728
|
52992
|
52992
|
52992
|
52992
|
|||
| 27 |
23004
|
24302
|
35723
|
49838
|
52253
|
52253
|
53811
|
53811
|
53811
|
53811
|
|||
| 27.5 |
23732
|
24302
|
35723
|
4983.8
|
52253
|
52253
|
54630
|
54630
|
54630
|
54630
|
|||
| 28 |
24135
|
25515
|
35723
|
49838
|
52845
|
52845
|
54630
|
54630
|
54630
|
54630
|
|||
| 28.5 |
24135
|
25515
|
35723
|
49838
|
52845
|
52845
|
54638
|
54638
|
54638
|
54638
|
|||
| 29 |
24135
|
25515
|
35723
|
49838
|
52853
|
52853
|
54638
|
54638
|
54638
|
54638
|
|||
| 29.5 |
24135
|
25515
|
35723
|
50877
|
54195
|
54195
|
54638
|
54638
|
54638
|
54638
|
|||
| 30 |
24135
|
25515
|
35723
|
50877
|
54195
|
54195
|
55913
|
55913
|
55913
|
55913
|
|||
| 30.5 |
24135
|
25515
|
35723
|
50888
|
54195
|
54195
|
55920
|
55920
|
55920
|
55920
|
|||
| 31 |
24135
|
25515
|
35723
|
51455
|
54195
|
54195
|
55920
|
55920
|
55920
|
56454
|
|||
| 31.5 |
24135
|
25515
|
35723
|
51455
|
54195
|
54195
|
55920
|
55920
|
56612
|
57327
|
|||
| 32 |
24135
|
25515
|
35723
|
52148
|
54195
|
54195
|
55920
|
56402
|
57473
|
58200
|
|||
| 32.5 |
24135
|
25515
|
35723
|
52148
|
54195
|
54195
|
55920
|
57273
|
58362
|
59100
|
|||
| 33 & above |
24240
|
25515
|
35723
|
52148
|
54195
|
54195
|
56355
|
58145
|
59250
|
60000
|
60000 |
60000 |
67500 |
Brigadier and above ranks though such cases may not occur in reality in higher ranks.
Click here for One Rank One Pension: Tables for other categories.
Stay connected with us via Facebook, Google+ or Email Subscription.
Subscribe to Central Government Employee News & Tools by Email [Click Here]
Follow us: Twitter [click here] | Facebook [click here] | Google+ [click here]
Admin














COMMENTS
(1) Non Pensioner Ex-servicemen with at least one warfront service and completed a tenure of three years in the war theater and awarded service medals and discharged with exemplary record should be granted service pension. (2) Non Pensioner Ex-servicemen discharged of reduction in establishment category after five year service should be awarded service pension.
Agree –